【数学】2017年全国一卷高考文科数学真题及答案考点解析

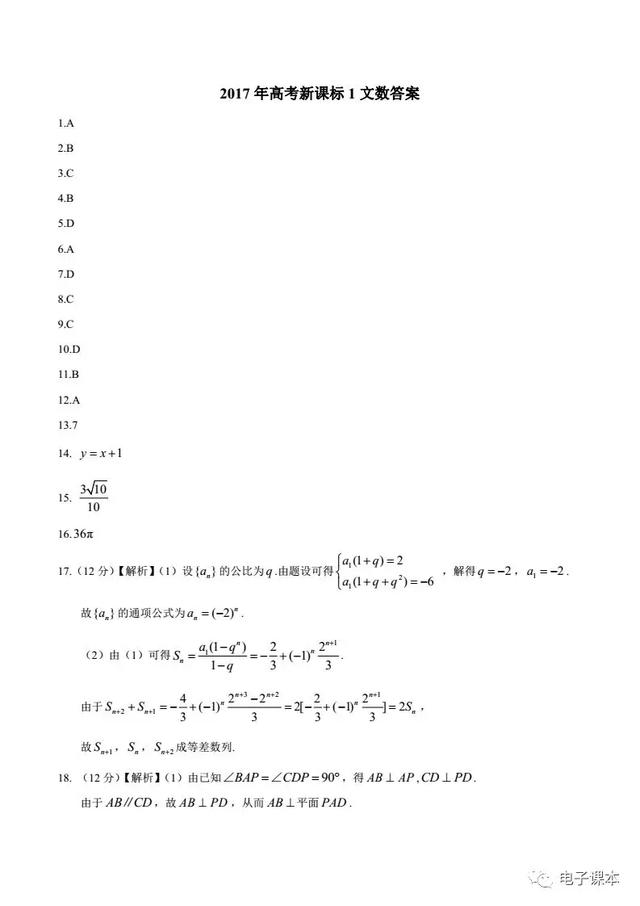
文章图片

文章图片

文章图片

文章图片

文章图片

【【数学】2017年全国一卷高考文科数学真题及答案考点解析】
推荐阅读
- [数学]高考数学选择题类型及解题方法(三角问题一)
- #数学#北大数学天才柳智宇,3次成为新闻人物,出家还俗都为救世!
- 「高中数学」为什么学霸做题又快又准?33个高中数学神级秒杀结论帮你助攻高考
- 「数学」一斤半水饺,成就高考数学全校第二的成绩
- 「数学」高中兴趣学科与大学专业对应关系,上大学报专业必须参考!
- 高中数学@高中数学:近五年高考试卷汇总,想提分还是要刷真题!
- 『高中数学』开学倒计时,一个字道破高中数学学习技巧,速看!学渣看了都逆袭
- 数学@学生们把课本玩的有多“惨”?脑洞大开的学生,把课本玩“坏”了
- 「数学」初三尖子生居家学习的“十二时辰”火了!差距就是这样拉开的
- 「数学」高考倒计时!学渣:数学只用这1套资料学习,从倒数到逆袭985!
