数学:267题!高考数学综合填空(含解析),考点讲解,考前冲刺特辑

文章图片

文章图片
在高中阶段 , 学习压力本来就大 , 任何学科的都不容有闪失 。 这个时候就要更注重学习方法和方向 , 正确的学习方向不仅可以让孩子的学习变得更轻松 , 还会提高孩子的学习效率 , 减少孩子的学习压力 。
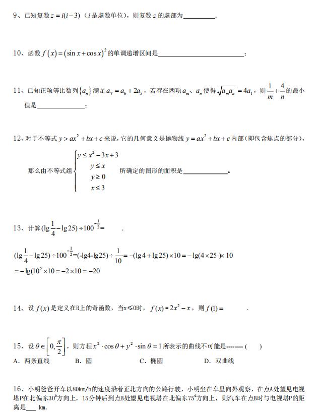
高考数学选择填空占分比非常大 , 因此“小题小做 , 小题巧做”则显得非常重要 , 下面学姐就给大家总结了高中数学 高考数学必刷综合填空题库(含解析)及考点讲解 , 整理成了文档 , 可供同学们练习 。
【数学:267题!高考数学综合填空(含解析),考点讲解,考前冲刺特辑】下方由于篇幅限制 , 以下仅为部分截取 。 所以还是老规矩!
完整电子版以及更多学习资料免费获取方式:请点击我的头像然后发送私信 “资料” , 即可领取
推荐阅读
- [理综]高考理综290分是什么水平?文综可以考到290分吗?
- 【理综】高考倒计时,理综怎样才能分数最大化?这些技巧你掌握了吗?
- 【】还有3天就要高考,高考考场已经布置好,今年高考有什么变动先看看考场
- ▲高考毕业,不建议报考的六大专业,你准备好了吗?
- 【高校】高考成绩中等的学生,适合报考这5所大学,将来很好就业
- #苟晶#关注高考事件,我们全被苟晶给骗了
- 「」7张真实照片揭露高考前夕这3个人到底有多累!让人看完感动到落泪
- 『高考作文』755字高考满分作文,30字无人能识,阅卷组长亲自出马写2000字注
- 「江苏省」高考最“委屈”的两个省,低分就能读清华,却是公认的国内最难
- 考试@为什么越来越多的老师不愿意高考监考了?3点原因不容忽视
