「数学」2020高考数学最可能考的50道题!别问为什么,近9年考点太有规律

文章图片

文章图片

文章图片

文章图片

文章图片

文章图片

文章图片

文章图片

文章图片

文章图片

文章图片

文章图片

文章图片

文章图片
理科数学每年必考知识点:
复数、程序框图、三视图、函数与导数、三角函数、圆锥曲线、球的组合体、(计数原理、概率与统计模块)等 。
理科数学每年常考的知识点:
常用逻辑用语、集合、线性规划、数列、平面向量、解三角形、定积分、直线与圆等 。
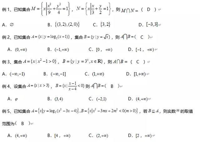
1、集合与常用逻辑用语小题
(1)集合小题
历年考情:
针对该考点 , 近9年高考都以交并补子运算为主 , 多与解不等式等交汇 , 新定义运算也有较小的可能 , 但是难度较低;基本上是每年的送分题 , 相信命题小组对集合题进行大幅变动的决心不大 。
常见集合元素限定条件;对数不等式、指数不等式、分式不等式、一元二次不等式、绝对值不等式、对数函数的定义域、二次根式、、点集(直线、圆、方程组的解);补集、交集和并集;不等式问题画数轴很重要;指数形式永远大于0不要忽记;特别注意代表元素的字母是还是 。
2020高考预测:
(2)常用逻辑用语小题
历年考情:
9 年高考中2017 年在复数题中涉及真命题这个概念.这个考点包含的小考点较多 , 并且容易与函数 , 不等式、数列、三角函数、立体几何交汇 , 热点就是“充要条件”;难点:否定与否命题;冷点:全称与特称(2015 考的冷点) , 思想:逆否.要注意 , 这类题可以分为两大类 , 一类只涉及形式的变换 , 比较简单 , 另一类涉及命题真假判断 , 比较复杂 。
推荐阅读
- [理综]高考理综290分是什么水平?文综可以考到290分吗?
- 【理综】高考倒计时,理综怎样才能分数最大化?这些技巧你掌握了吗?
- 【】还有3天就要高考,高考考场已经布置好,今年高考有什么变动先看看考场
- [高校]2020高校本科专业出炉,共703个,这些专业重点关注,发展前景好
- ▲高考毕业,不建议报考的六大专业,你准备好了吗?
- 【高校】高考成绩中等的学生,适合报考这5所大学,将来很好就业
- #苟晶#关注高考事件,我们全被苟晶给骗了
- 「」7张真实照片揭露高考前夕这3个人到底有多累!让人看完感动到落泪
- 『高考作文』755字高考满分作文,30字无人能识,阅卷组长亲自出马写2000字注
- 「江苏省」高考最“委屈”的两个省,低分就能读清华,却是公认的国内最难
