【高中数学】高中数学(文/理)所有公式大总结,附重点知识89条!准考生速记

文章图片

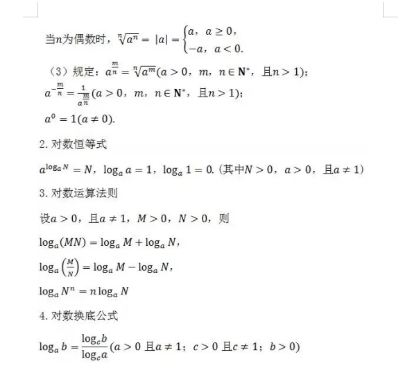
文章图片

文章图片

文章图片

【距离2020年高考还有30天!距离2021年高考还有365天!】
高中三年是整个学习生涯中最辛苦的三年 , 面临着人生选择的第一步——高考 。 所以对于同学们来说 , 压力不可能不大 。
而高中数学对大部分的同学们来说 , 是学习中的拦路虎 , 不仅仅是文科生 , 理科生也是 。 虽说是高中数学靠思维理解能力、强大的逻辑能力和敏捷的反应能力 , 但不排除一定的记忆能力 。
数学强调记忆公式 , 也离不开各式各样的公式 , 只有记住了公式才能解题 , 可以说公式是解题的着手点 。 而同学们要想学好高中数学 , 那么第一步要做的是背熟公式 。 但是 , 很多同学抱怨公式太多了 , 容易记混淆 , 的确 , 很多公式在同一时间来记忆难免会用错 。
所以今天社长在这里给同学们分享高中数学(文/理)所有公式大总结 , 附重点知识89条 , 希望能对同学们帮助!家有高中生的家长最好给孩子们打印一份 , 让孩子们提前背熟 。
文末可免费领取电子版 。
接下来进入正题 。
【【高中数学】高中数学(文/理)所有公式大总结,附重点知识89条!准考生速记】
(因篇幅有限 , 以上只是一小部分 , 关注社长 , 每天分享学习技巧 , 解读高考出题规律 , 免费领取电子版资料 , 帮助同学们快速提分!)
获取电子版:
关注社长+私信(并不是要关注 , 因为不是粉丝我回复不了 。 )
我不知道未来会是怎样的 ,可是那些挑灯夜战奋笔疾书的日子知道 , 那些寒风凛冽里为高考奔波的日子 , 它们都变成日后你们迎接更美好人生的铺垫 。 ——社长每日偷来的语录
推荐阅读
- 警察@高中生怎么才能当警察?看看你有没有满足这4个要求
- 高考:1997年的中专很难考吗?高中毕业考上中专的现在能考上一本吗?
- 【宿舍】高中宿舍“没的最快”的3种东西,尤其第2种,学生:比曹操都快
- 「亳州」亳州首屈一指四所重点高中,亳州一中一马当先,其他三所你可知晓
- 「」全国范围来说,考上公办二本难度有多大?所有的考生和家长看看!
- 初中数学@初中数学丨动点最值问题19大模型+例题详解,彻底解决压轴难题
- 『期末考试』深圳突然连夜取消所有学校期末考试,原因令你想不到!
- 「数学」这3个大学专业挂科率很高,毕业后还很难找工作,报考要慎重
- 「教育部」事关所有在校生!教育部新政策来了,学生家长:早该如此了!
- ##高中生家里没钱没背景,可选择这几个大学专业,毕业至少5000起!
