#数学#考前必看:历年高考整理出的99个数学高频考点、公式!再不看就晚了

文章图片

文章图片

文章图片

文章图片

文章图片

文章图片

文章图片

文章图片

文章图片

文章图片

文章图片
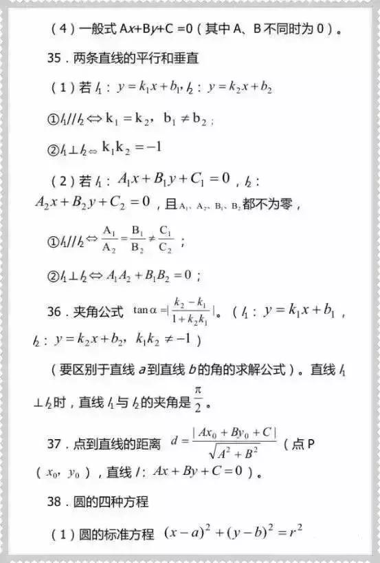
今天系小编为大家整理了这份数学高频考点汇总 , 感觉对大家还是会很有帮助的 。 尤其是对那些懒得整理的学弟学妹们 , 可以把每张图片都保存起来 , 或者去打印出来 , 如果勤快还也可以跟着抄写一遍~
另外 , 这些公式虽然整理得很全 , 但死记硬背真的效率超低 , 但你不背过又没法做题 。 所以还是要尽量做到全部熟悉 , 结合自己做的题目 , 找到对应的解题公式 , 放到题目里去理解公式和定义 。 觉得有用的同学别忘了点个关注哦!
【#数学#考前必看:历年高考整理出的99个数学高频考点、公式!再不看就晚了】
整理不易 , 感谢大家多多支持 , 更多学习技巧及资讯可关注小编哦!祝大家高考顺利!
推荐阅读
- 「」7张真实照片揭露高考前夕这3个人到底有多累!让人看完感动到落泪
- ▲高考前最后一课,难离舍,泪阑珊
- 毛坦厂:高考前夕,家长要为孩子送考吗?看看毛坦厂中学的做法,值得称赞
- 『考试』考前紧张到睡不着?高三老师分享放松方法,考生考前必备
- 『试题』高考前这三种东西一定不能碰,最后一种很多学生都没注意过
- 「」高考前夕,为什么很多女生“偷吃”避孕药,学姐含泪说出实情!
- 「考试」高考前几天失眠,担心影响考试发挥?有困扰的学生可尝试这些方法
- 『毛坦厂』高考前夕的毛坦厂又“火了”,送考被叫停,新要求让家长左右为难
- 初中数学@初中数学丨动点最值问题19大模型+例题详解,彻底解决压轴难题
- 「考试」高考前几天怎么过,对考试更有帮助?听听过来人的建议!
