高考|快讯!2020上海高考“成绩分布表”公布!
_原题为 快讯!2020上海高考“成绩分布表”公布!
@高考考生们 , 2020上海高考本科各批次录取控制分数线已经公布 , 各位考生的高考分数也即将揭晓(点击左下角“阅读原文”直达查分通道) 。
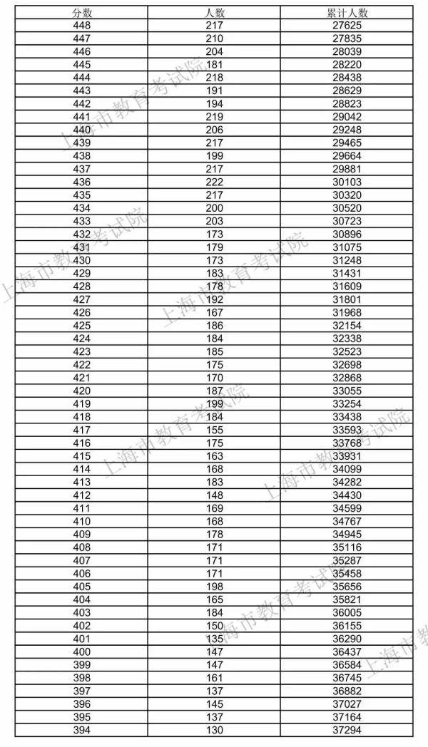
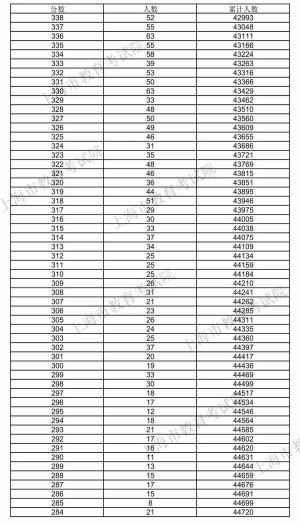
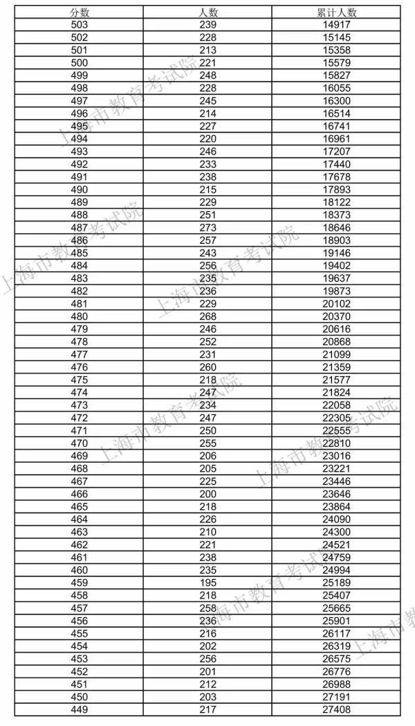
你的分数大概排名多少?市教育考试院刚刚发布本市2020年考生高考成绩分布情况 。 对照表格 , 让你了解自己的成绩处于全市哪个位置 , 在填报志愿时也就多了些底气啦!具体成绩分布表见↓
2020年考生高考成绩分布情况
文章图片
文章图片
文章图片
文章图片
文章图片
文章图片
文章图片
注:2020年选考(思想政治、历史、地理、物理、化学、生命科学)科目考生高考成绩分布表(考生须登录“2020年高考志愿辅助填报系统”查询) 。
2020年艺术类、体育类考生成绩分布情况请进入“上海招考热线”网站查询 。
资料:市教育考试院
【高考|快讯!2020上海高考“成绩分布表”公布!】声明:转载此文是出于传递更多信息之目的 。 若有来源标注错误或侵犯了您的合法权益 , 请作者持权属证明与本网联系 , 我们将及时更正、删除 , 谢谢 。
推荐阅读
- 征收|2020城乡居民基本医疗保险征收工作 9月1日正式开始
- 陆丰|快讯!广东陆丰南塘镇调整为低风险
- 山东|探索青年学生助力乡村振兴新模式,2020年“清华学子山东行”圆满收官
- 【净网2020】打击治理跨境赌博|【净网2020】打击治理跨境赌博,保护群众财产安全
- 圆满结束|关注2020高招 本科一批录取圆满结束 共计录取82120人
- 飘逸|《创造营2020》颜值前十名你认可么姜贞羽飘逸,郑乃馨呆萌
- 标准地图|2020年标准地图发布, 一点都不能错!
- 2020|青岛银行公布2020年中期业绩: 资产总额超4405亿元 持续稳健增长
- 2020|扩散周知!自然资源部:2020年标准地图发布
- 快讯神记|一手遮天实锤!德云斗笑社开播,郭德纲爱徒处处有特权被质疑
