高考|刚刚,2020年山东高考一分一段表出炉!你的成绩排多少?
_原题为 刚刚 , 2020年山东高考一分一段表出炉!你的成绩排多少?
刚刚
对考生填报志愿极其重要的
2020山东夏季高考
文化总成绩一分一段表
发布了!!
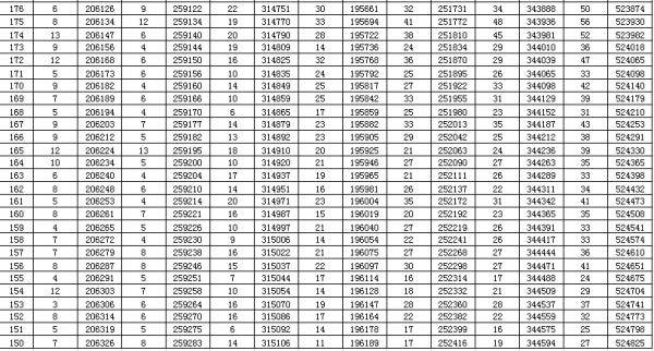
650分以上的考生
4680人
600分以上的考生
27082人
一段线449分以上考生
272673人
2020夏季高考文化总成绩一分一段表
(点击图片查看大图)
文章图片
文章图片
文章图片
文章图片
文章图片
文章图片
文章图片
文章图片
文章图片
文章图片
文章图片
文章图片
来源:山东省教育发布
【高考|刚刚,2020年山东高考一分一段表出炉!你的成绩排多少?】声明:转载此文是出于传递更多信息之目的 。 若有来源标注错误或侵犯了您的合法权益 , 请作者持权属证明与本网联系 , 我们将及时更正、删除 , 谢谢 。
推荐阅读
- 暴露|《奔跑吧》刚刚收官,baby蔡徐坤合体录新综艺,站位暴露两人关系
- 山东|探索青年学生助力乡村振兴新模式,2020年“清华学子山东行”圆满收官
- 浙样的生活|刚刚,抓到了!
- 标准地图|2020年标准地图发布, 一点都不能错!
- 2020|青岛银行公布2020年中期业绩: 资产总额超4405亿元 持续稳健增长
- 2020|扩散周知!自然资源部:2020年标准地图发布
- 马斯克|马斯克发布脑机接口重大突破,其实也才是刚刚起步
- 刚刚,华春莹用英日双语发推:我们赞赏安倍晋三首相为改善中日关系所作的努力,祝愿早日康复
- 跳水|关注丨确认了!刚刚,日本首相安倍宣布辞职,股市直线跳水
- 同程|同程艺龙2020年上半年营收22亿元,王强调任首席运营官
