成绩|速看!2020高考艺术类、体育类及单独考试招生综合分(成绩)分段表出炉!( 三 )

文章图片
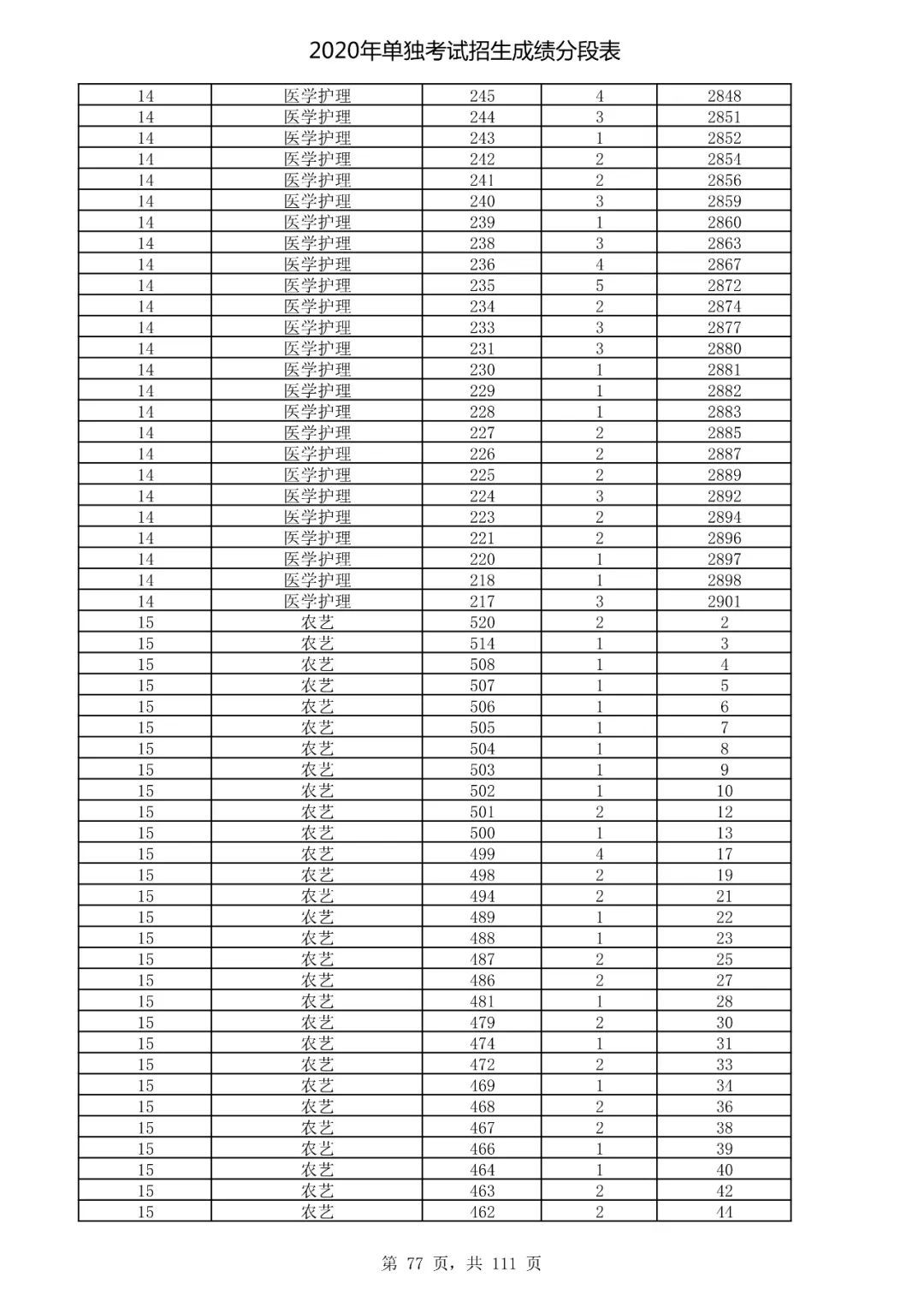
文章图片
文章图片
文章图片
文章图片
文章图片
文章图片
文章图片
文章图片
文章图片
文章图片
文章图片
文章图片
文章图片
文章图片
文章图片
文章图片
文章图片
文章图片
文章图片
文章图片
文章图片
文章图片
文章图片
文章图片
文章图片
文章图片
文章图片
文章图片
文章图片
文章图片
文章图片
文章图片
文章图片
文章图片
文章图片
文章图片
文章图片
文章图片
文章图片
文章图片
文章图片
文章图片
文章图片
文章图片
文章图片
推荐阅读
- 征收|2020城乡居民基本医疗保险征收工作 9月1日正式开始
- 山东|探索青年学生助力乡村振兴新模式,2020年“清华学子山东行”圆满收官
- 【净网2020】打击治理跨境赌博|【净网2020】打击治理跨境赌博,保护群众财产安全
- 圆满结束|关注2020高招 本科一批录取圆满结束 共计录取82120人
- 飘逸|《创造营2020》颜值前十名你认可么姜贞羽飘逸,郑乃馨呆萌
- 标准地图|2020年标准地图发布, 一点都不能错!
- 2020|青岛银行公布2020年中期业绩: 资产总额超4405亿元 持续稳健增长
- 2020|扩散周知!自然资源部:2020年标准地图发布
- 消息资讯|安庆皖江中等专业学校2020级新生军训汇报表演展成果
- 洪恩|洪恩教育荣获2020行业影响力品牌奖
