相对论|物体的质量是怎么产生的?

文章图片

文章图片

文章图片

文章图片

文章图片

物体的质量是怎么来的?其产生机制是什么?为了回答这样的重大问题 , 一代又一代的物理学家付出了大量的努力 。
质量和重量的区别在日常生活中 , 我们通常会把质量和重量等价起来 。 但在物理学上 , 这是两种概念 。 物体的重量来来自于重力 , 在不同表面重力的星球上 , 同一个物体的重量是不一样的 , 例如 , 物体在月球上的重量只有地球上的六分之一 。 另外 , 宇航员到了太空中绕着地球做自由落体运动 , 他们还会处于失重的状态 。 在国际单位制度中 , 重量用“牛顿(N)”来表示 。
另一方面 , 质量是物体的基本属性 , 不会因为物体处在不同的引力场中而发生变化 。 宇航员在月球上感觉自己变轻了 , 并不是因为自身的质量降低了 , 而是因为所受到的引力作用变小了 。 在国际单位制度中 , 质量用“千克(kg)”来表示 。
质量的定义:惯性质量和引力质量物理学中对于质量的定义超过7种 , 最常被用到的是惯性质量和引力质量 。
惯性质量可以通过牛顿第二运动定律(F=ma)得到 , 物体的惯性质量决定了它的惯性大小 , 决定着它的加速度被改变的难易程度 。 通过测量物体所受到的力和对应的加速度 , 可以算出物体的惯性质量 。
【相对论|物体的质量是怎么产生的?】引力质量则是源自于引力 , 通过测量一个物体在引力场中所受的重力(G)以及对应的重力加速度(g) , 可以算出物体的引力质量(m=G/g) 。
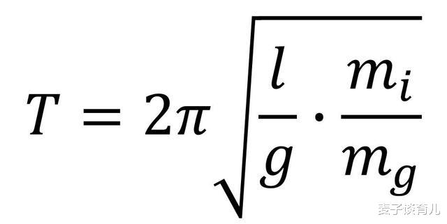
牛顿认为 , 惯性质量和引力质量并非是相同的东西 。 然而 , 我们在推导单摆运动的周期公式时 , 往往会认为惯性质量和引力质量是相等的 , 直接把它们消掉 , 由此得到如下的公式:
但如果区分惯性质量(mi)和引力质量(mg) , 结果会得到如下的单摆运动周期公式:
通过实验测量可知 , 物体的单摆周期与质量没有任何关系 , 只取决于摆长 。 从这点来看 , 惯性质量和引力质量之比是相等的常数 , 或者说这两种质量是等价的 。 随着实验精度的提高 , 这种等价关系被更精确地证实 。 在物理学上 , 通过系数调整 , 可以让惯性质量和引力质量变得相等 。
牛顿认为 , 惯性质量和引力质量相等只是巧合现象 。 但爱因斯坦提出了不同观点 , 他认为均匀引力场和均匀加速度是不可区分的 , 这就是等效原理 。 基于这样的原理以及广义相对论性原理 , 爱因斯坦创立了广义相对论 , 认为引力的本质是几何效应 。
量子力学中的质量物体都是由一系列原子组成 , 原子又是由质子、中子和电子组成 , 质子和中子还由夸克组成 。 从目前的认知来看 , 电子和夸克都是基本粒子 , 它们都无法再分割下去 。
推荐阅读
- 火星|探测器发回照片,火星上发现形似“鱼化石”物体,是真的吗?
- 工控网|提速10倍!ABB全新机器人3D检测单元让质量控制检测简便高效
- 科学星|真的是火星文明遗留的?,火星再现神秘物体
- 爱因斯坦|依据质能方程可以将质量转化为能量,能否用能量生成1g的质量呢?
- 四眼懒虫|华为手机胜出的核心:以合适成本生产同档位高质量产品
- 科学星|发现一百万亿倍太阳质量的超级星系团,在早期宇宙中
- 卫星|美卫星拍到异常,400万吨物体飘向中国,来自大自然的警告
- 茶故事|口碑最好的充电宝推荐,充电宝哪个质量最好
- 中国质量万里行|直播带货水很深!这些套路你中招了吗?
- 中国质量万里行|网友:中招了,为啥“移动客服”经常劝你换套餐?3大套路确认后
