华师深|重磅!粤本科投档线出炉!清华双冠,中大华工暨大华师深大省内前五( 二 )
三是考生报考外省高校热情有所提高 , 各高校生源分布更趋均衡 。 从投档情况看 , 不但外省名校生源充足 , 一般的普通院校生源也较为充裕 , 东北、西北、西南等地区“传统”冷门高校 , 生源情况也逐渐趋好 , 反映出我省考生不愿出省上学的观念正在改变 , 越来越多的考生愿意到省外就读 。
四是考生报读理工科院校专业热情持续上升 。 大多数高水平理工科院校的投档分数及排位均有提高 , 为此 ,清华大学、中国科学技术大学、复旦大学、上海交通大学、哈尔滨工业大学(深圳)、北京理工大学、西安交通大学、东南大学均增加了在广东省招生计划 。
五是地方专项计划和中外合作办学报考热情不减 。 从投档情况看 , 今年地方专项计划生源良好 , 大部分学校一次性投档即满档 。 中外合作办学受国外新冠肺炎疫情影响不大 , 考生报考热情依旧高涨 , 特别是一些高水平大学中外合作办学专业投档分居高不下 , 且远超高分优先投档线 。 比如 , 中 国传媒大学(中外合作办学专业)文、理科投档线分别为592分、614分 , 同济大学(中外合作办学专业)理科投档线为638分 。
根据招生录取日程安排 , 高分优先投档线上考生18日录取结束 。 同日将投本科院校普通文理类最低分数线上考生档案 。
广东省2020年本科文科优先投档分数线上投档情况
↓↓
文章图片
文章图片
文章图片
文章图片
文章图片
文章图片
广东省2020年本科理科优先投档分数线上投档情况
↓↓
文章图片
文章图片
文章图片
文章图片
文章图片
文章图片
文章图片
文章图片
文章图片
文章图片
文章图片
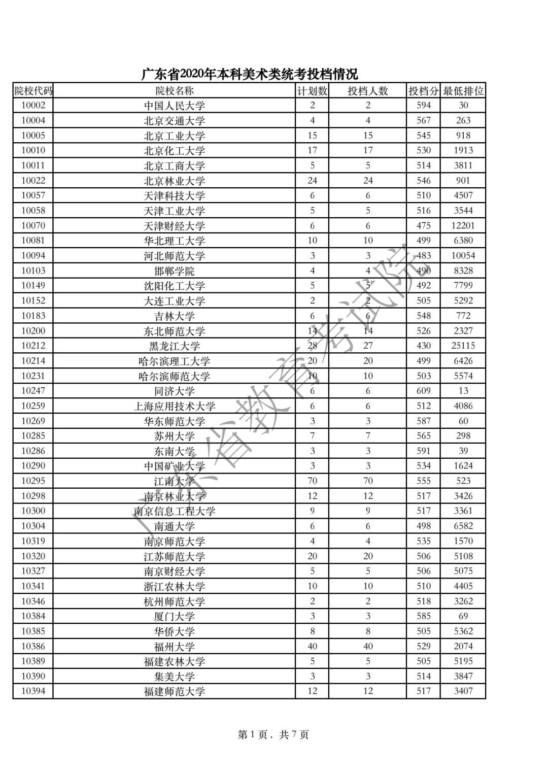
广东省2020年本科美术类统考投档情况
↓↓
文章图片
文章图片
文章图片
文章图片
文章图片
文章图片
文章图片
推荐阅读
- 个人|有钱说赢销:重磅!个人微信群以后也能直播了!你知道吗?
- 圆满结束|关注2020高招 本科一批录取圆满结束 共计录取82120人
- 消息资讯|宁波成人教育本科的文凭含金量高吗?
- 写作|干货|美国本科留学文书写作秘籍
- 本科|本科二批录取正式开始
- GET|《看见快生活》重磅来袭!众多快手达人同场battle,还能秒杀好物GET精彩福利~
- 续展|重磅!基金销售迎来新规:首提续展机制 禁止短期业绩宣传
- 社会实践|华师踏梦川行队实践纪:用音乐与爱创造陪伴与希望
- 征集志愿|本科二批昨投出197292份档案 8月31日征集志愿,9月1日录取结束
- 征集|本科二批昨投出 197292份档案录取工作安排:8月31日征集志愿,9月1日录取结束
