卡诺循环|为了让你过好夏天,你知道科学家们有多努力吗?( 二 )

本文图片
要谈气体动力学制冷 , 就得直面大名鼎鼎的“卡诺循环” 。 1824年 , 法国工程师尼古拉·莱昂纳尔·萨迪·卡诺提出了卡诺循环(Carnot cycle)来分析热机的工作过程 。
本文图片
卡诺循环
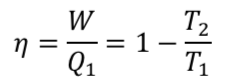
卡诺循环是假设只有两个热源(一个高温热源温度T1和一个低温热源温度T2)的简单循环 。 由于工作物质只能与两个热源交换热量 , 所以可逆的卡诺循环由两个等温过程和两个绝热过程组成 , 在理想气体的准静态过程中进行能量转化:等温膨胀过程I→II(在高温热源吸热 Q1 );绝热膨胀过程II→III(ΔQ=0);等温压缩过程III→IV(在低温热源放热 Q2 );绝热压缩过程IV→I(ΔQ=0) 。 整个循环中气体对外所作的净功 W 应等于气体在循环中所吸收的净热量 Q1-Q2 。 理想的卡诺循环效率为(详细计算过程可查《热力学·统计物理》):
本文图片
这说明卡诺循环效率只与两个热源的温度有关 , 且在有限温度内不可能达到1 , 不过可以通过升高高温温度和降低低温温度来增大效率 。
本文图片
斯特林发动机 I | 来源:看点快报
1816年 , 英国伦敦的牧师罗巴特·斯特林(Robert Stirling)发明了斯特林发动机(Stirling engine) , 它理论上的效率几乎等于理论最大效率——卡诺循环效率 。 斯特林发动机是通过气体受热膨胀、遇冷压缩而产生动力的 。 它是一种外燃发动机 , 使燃料连续地燃烧 , 蒸发的膨胀氢气(或氦)作为动力气体使活塞运动 , 膨胀后的气体又在冷气室里被冷却 , 反复地进行这样的循环过程 。
本文图片
斯特林发动机 II | 来源:看点快报
本文图片
斯特林发动机 III | 来源:看点快报
由于准静态过程可逆 , 如果令整个卡诺循环反向进行 , 依次经状态 I→IV→III→II 而回到状态I , 就需要外界对系统作功 , 在低温热源 T2 吸热 Q2 , 在高温热源 T1 放热 Q1 , 这个逆循环正是理想制冷器的工作循环 , 其作用是把热量从低温物体送到高温物体 。
本文图片
斯特林制冷器示意图 , 该系统由一个活塞在环境温度 Ta, 一个活塞在低温 TL | 来源:wiki
本文图片
斯特林循环的四种状态 | 来源:wiki
斯特林制冷器正是利用逆卡诺循环来实现降温的 , 它由冷热活塞、冷量换热器、冷却器、回热器和两个气缸组成 。 冷却循环分为4个步骤;
等温压缩过程 a→b:冷活塞固定 , 热活塞右移 , 以环境温度 Ta 放热 Qa ;
定容放热过程 b→c:两个活塞同时向右移动 , 气体的体积保持不变 , 当热气体通过回热器时 , 将热量传给填料 , 因而温度由 Ta 降低到 TL ;
等温膨胀过程 c→d:热活塞固定 , 冷活塞右移 , 温度为 TL 的气体进行等温膨胀 , 从低温热源(冷却对象)吸收一定的热量 QL(制冷量);
定容吸热过程 d→a:两个活塞同时向左移动直至左止点,气体体积保持不变 , 回复到起始位置 。 当温度为 TL 的气体流经时从回热器填料吸热 , 温度升高到 Ta 。
外界对制冷器作功:
本文图片
效率为:
本文图片
发现其理想效率也只与两个温度有关 。 斯特林制冷器具有结构紧凑、工作温度范围宽、启动快、效率高、操作简便等优点 。 两空间制冷机温度可达 80 K 。 三空间制冷机温度可达 10.5-20 K 。 四空间制冷机温度可达 7.8 K 。 冷头最底温度达到6K到 3.1 K的斯特林制冷器也已研制成功 。 除此之外 , 还有Gifford-Mcmahon(GM) 制冷器、脉冲管制冷器、节流制冷器等等 。
推荐阅读
- 蚕农|汝州市焦村镇:笑容挂在蚕农的脸上
- 服装|杨丽萍为了追求舞台效果更逼真,身上衣服都是画的
- 玫瑰|为了娶她,著名演员张晨光,连送4年玫瑰,为生子做试管婴儿
- 最新趣闻|冯小刚年轻照片曝光,为了娶徐帆,抛下发妻和裂唇女儿,是为啥
- 翻译|“为了英语考试而编过的词汇,网友们的神翻译笑到我!”哈哈哈……
- 农技兴农|一亩地,播多少斤小麦种子最高产?小麦为什么分糵不足?
- 百科天地|伯曼猫,能明确知道主人的喜好,它做的一切都是为了让主人开心
- 朱一龙|朱一龙否认隐婚生子,遭日本社长一顿臭骂,为了名利活得不像人
- baby|段奥娟为了让baby落水,下意识忘记了游戏规则,腿部举动引热议
- 晓君侃史|当年为了得到马云的资助,将家中母鸡寄给马云的女孩,后来怎样?
