专科|震惊!全国各省专科投档线汇总,这些学校投档分竟比本科还高!
_原题为 震惊!全国各省专科投档线汇总 , 这些学校投档分竟比本科还高!
2020年高考专科批次录取正在集中录取 , 今日整理了各省份的专科批投档线 , 分别有广东、上海、海南、河北、江西、安徽、天津、辽宁、江苏、宁夏、青海、陕西(第二次模拟投档)等省份 , 供考生及家长查看 。 不少专科院校的投档分甚至比本科还高 , 一起来看看 。
参考:31省市2020年高考分数线汇总
文章图片
接下来我们分别看看各省份的专科批次投档情况 , 需要注意的是:以下数据摘录不含提前批、征集志愿及艺体类投档数据 。 文章篇幅较长 , 建议大家可以搜索定位到自己想看的省份 。
广东
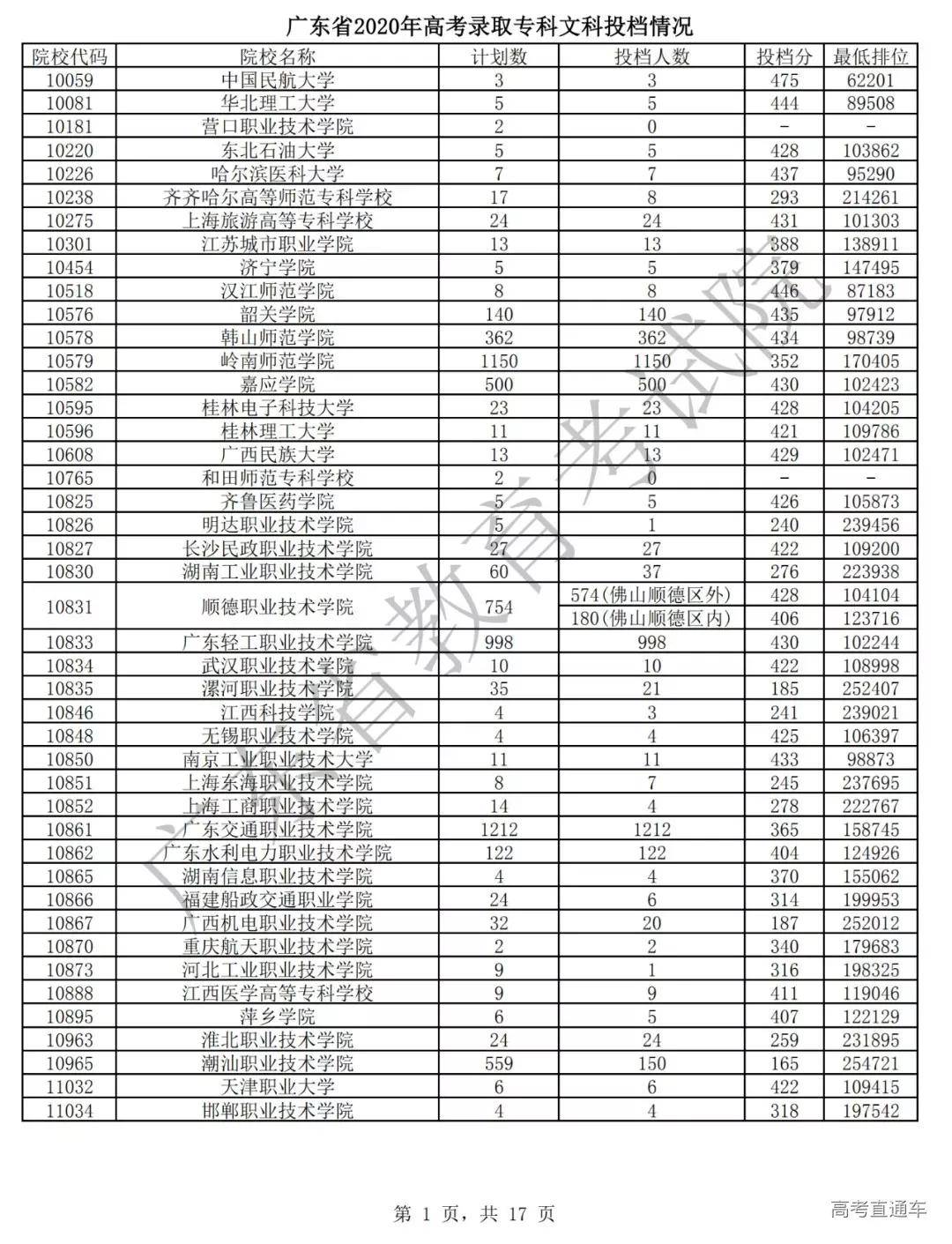
广东2020专科批次普通文科类最低分数线上投档情况:
文章图片
文章图片
文章图片
文章图片
文章图片
文章图片
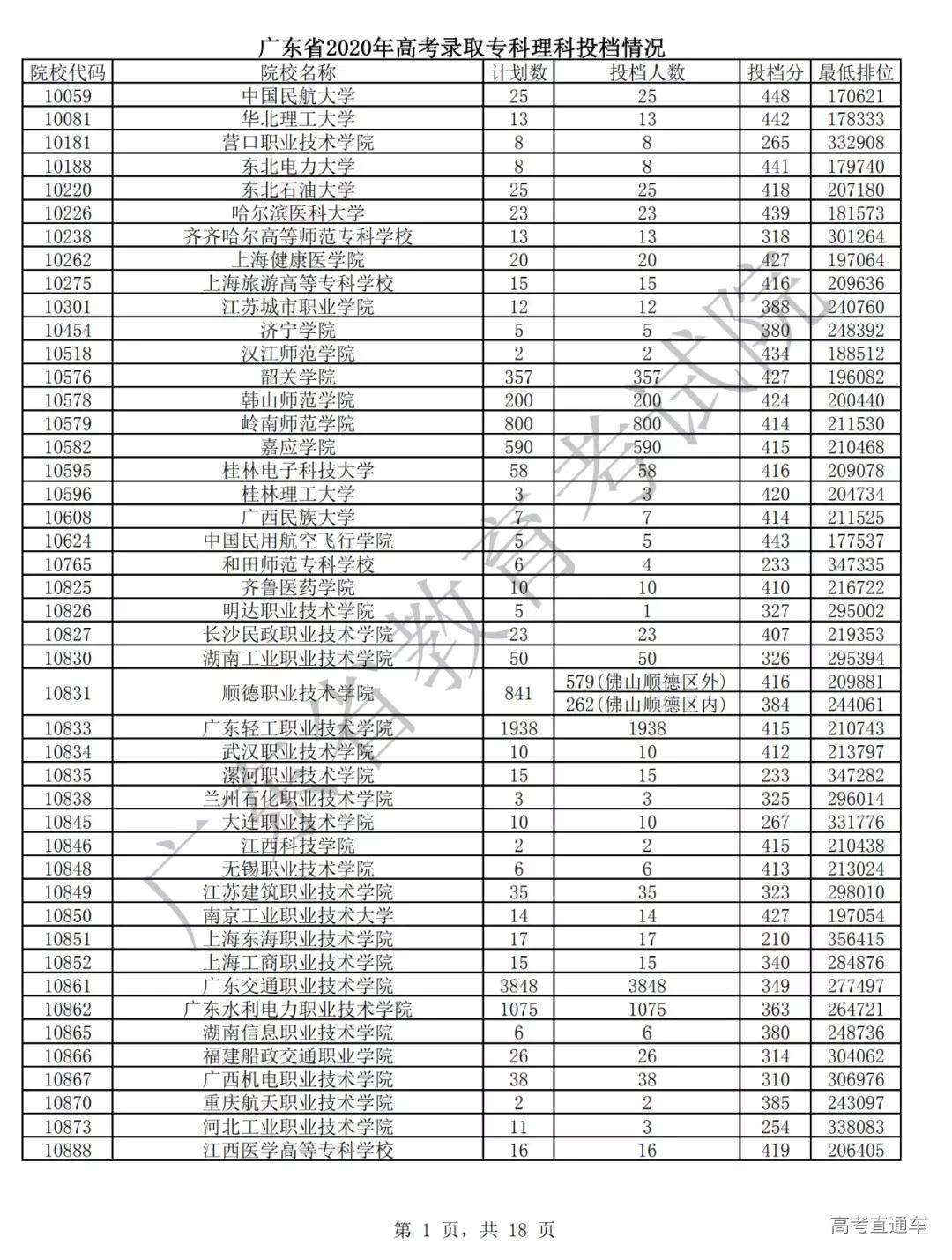
【专科|震惊!全国各省专科投档线汇总,这些学校投档分竟比本科还高!】广东2020专科批次普通理科类最低分数线上投档情况:
文章图片
文章图片
文章图片
文章图片
文章图片
上海
文章图片
文章图片
海南
文章图片
文章图片
文章图片
文章图片
文章图片
河北
河北2020专科批理工一志愿平行投档情况统计:
文章图片
推荐阅读
- 创意|@全国高校学子,广州这家企业招募创意合伙人,快来挑战吧
- 趣闻晨报|《中国新说唱》全国五强出炉,刚被复活的小白,又被威尔淘汰了!
- 闽南网|2020全国人口普查要户口本和身份证吗?要准备什么证件
- 考试|2020年注册会计师全国统一考试清远考区温馨提示
- 污染源|一图读懂丨青海省第二次全国污染源普查
- 湖北日报视频|明日起,乘火车有变化
- 视台春节联|2021BTV春晚全国海选来冀“选”人
- 综艺|《大地颂歌》将与全国观众见面:4K高清形式登陆湖南卫视
- 教学|四川今年执行高职(专科)计划33万人 招生对象覆盖部分在岗群体
- 今日事|昆明这些“小卓玛”火了!视频冲上全国第二
