消息资讯|2020年广东专插本各院校录取分数线汇总
_原题为 2020年广东专插本各院校录取分数线汇总
2020年广东专插本最低录取控制分数线
文章图片
2020年广东专插本最低录取控制分数线
2020年广东专插本各院校录取投档分数线
文章图片
2020年广东专插本各院校录取投档分数线
文章图片
2020年广东专插本各院校录取投档分数线
文章图片
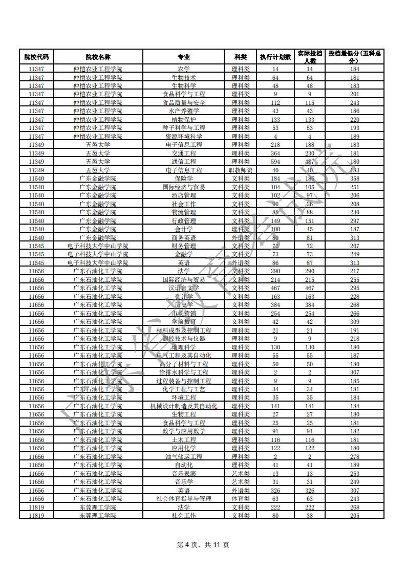
2020年广东专插本各院校录取投档分数线
文章图片
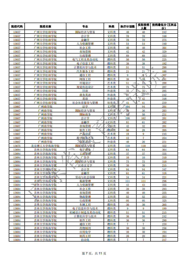
2020年广东专插本各院校录取投档分数线
文章图片
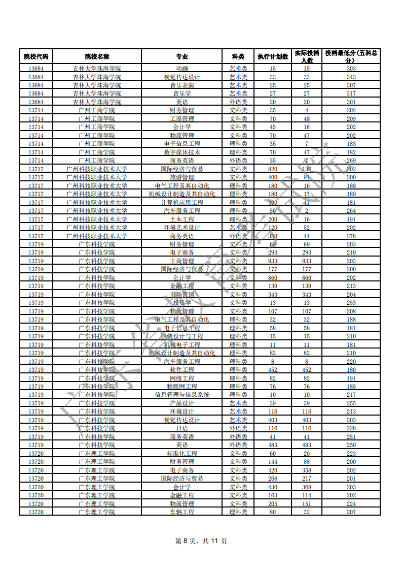
2020年广东专插本各院校录取投档分数线
文章图片
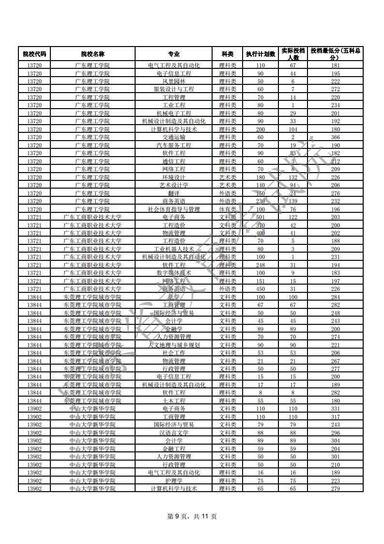
2020年广东专插本各院校录取投档分数线
文章图片
2020年广东专插本各院校录取投档分数线
文章图片
2020年广东专插本各院校录取投档分数线
文章图片
2020年广东专插本各院校录取投档分数线
文章图片
2020年广东专插本各院校录取投档分数线
文章图片
2020年广东专插本各院校录取投档分数线
【消息资讯|2020年广东专插本各院校录取分数线汇总】更多广东专插本考试资讯 , 2020年招生计划 , 考试大纲等信息 , 微信搜索公众号“专升本考试中心”首页底部对话框回复“广东”查看 。
推荐阅读
- 消息资讯|越来越多的国货被央媒点赞,华为、SKG等品牌打造新国货模范
- 消息资讯|爱店家荣获 “中国著名品牌”未来向更加优秀前进
- 消息资讯|湖北英赛特集团首颁“宋仲斋教育奖励基金”十名师生获得激励
- 消息资讯|Veritas收购Globanet,扩展其数据合规产品支持微信与钉钉
- 消息资讯|深圳家长圈最热门的四大国际化名校升学表现大PK!谁才是美国方向升学最强者?
- 新资讯|众名家共绘“梅花草堂图”,留下多少佳话!朱屺瞻艺术馆重启开馆推出系列活动
- 鲜闻联播|错失金鹰奖后,谭松韵又迎来好消息,引起粉丝们一片尖叫
- 消息资讯|华理2019届毕业生丁鹏同学荣获第三届上海市金融硕士优秀论文奖
- 消息资讯|专插本毕业证和普通高考本科生的毕业证一样吗?
- 教育|2020年央广网教育峰会:谢龙
