美国研究“打脸”特朗普:羟氯喹阿奇霉素致新冠患者心脏病变
在新冠肺炎迄今尚无治特效药治疗的局面下,美国总统特朗普一直极力推荐抗疟剂药物羟氯喹作为治疗新冠的“神药”,称“这些药物将是对抗新冠病毒的‘游戏规则的改变者’” 。不过,越来越多的证据正在“打脸”特朗普 。
当地时间4月24日,顶级学术期刊《自然-医学》(Nature medicine)在线发表了一篇来自美国纽约大学医学院的通讯文章,研究人员对84名在美国纽约的一家中心接受治疗的新冠肺炎患者进行了评估,称使用羟氯喹和阿奇霉素治疗的新冠肺炎患者出现了心电图异常 。
文章中提到,不久之前有报告称,联合使用抗疟疾药物羟氯喹和抗生素阿奇霉素(HY/AZ)或许可以帮助新冠肺炎患者, 这导致世界各地的临床医生大量采用该方案 。
但是,这两种药物此前都已分别被证实会增加不同类型的心脏节律异常的风险,如QT间期延长、药物诱发的尖端扭转型室速(一种多态室性心动过速)和药物性心源性猝死 。QT间期通过心电图测量,代表的是心室去极化和复极化过程的总时程 。QT间期延长使病人面临心律不齐和心脏性猝死风险 。
在研究人员所在的医疗中心,收治了下呼吸道疾病并发咳嗽、X胸片浸润、持续发热、伴有或不伴有血氧饱和度降低的COVID-19患者,均行羟氯喹和阿奇霉素治疗,羟氯喹在第一天服用400毫克,每日两次,随后每日服用200毫克;阿奇霉素为每日500毫克 。羟氯喹和阿奇霉素治疗后平均心电图随访时间为4.3±1.7天 。
文章图片
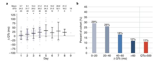
研究人员回顾了84名口服羟氯喹和阿奇霉素的新冠肺炎患者的心电图,获得他们的校正QT(QTc)间隔 。这组患者平均年龄为63岁,74%为男性 。
结果显示,在治疗的第3.6±1.6天,研究人员观察到QTc从基线平均值435±24 ms延长到最大平均值463±32 ms(图1) 。11%(n=9)的患者QT间期延长明显,使他们面临着较高的心律不齐和心脏性猝死风险 。4例患者死于多器官功能衰竭,无心律不齐证据,也无严重的QT间期延长 。64例患者仍在住院,其余16例患者已出院 。
研究人员在论文中援引此前的研究称,早在2月初,《细胞研究》(Cell Research)上在线发表了来自中国科学院武汉病毒研究所、生物安全大科学研究中心肖庚富,胡志红及军事医学科学院毒物药物研究所钟武共同通讯的论文 。他们在体外试验中发现,瑞德西韦(Remdesivi)和氯喹(chloroquine)能有效抑制新型冠状病毒 。另外,2013年的一项早期研究也曾显示,羟氯喹和阿奇霉素联合应用于年轻健康志愿者时,QTc会轻微延长 。但在这项研究中,研究人员发现在接受羟氯喹和阿奇霉素治疗的COVID-19患者中,QTc明显延长 。
研究人员认为,这些研究结果的差异提示,QT间期延长可能受患者基础疾病的存在和疾病严重程度等因素的影响 。
【美国研究“打脸”特朗普:羟氯喹阿奇霉素致新冠患者心脏病变】 值得注意的是,全球知名医疗机构之一、美国梅奥诊所的研究人员最近的一份指南建议,COVID-19患者在接受包括羟氯喹和阿奇霉素联合治疗在内的新疗法之前,应进行心电图筛查和QTc评估 。而在这项队列研究中,9例QTc延长明显的患者中有5例在基线时QTc正常 。
因此,研究人员总结表示,应该持续监测这一类患者的状况,尤其是伴有其它疾病的患者和接受了其它会导致QT间期延长的治疗用药的患者 。
值得一提的是,就在当地时间4月24日,美国食品和药物管理局(FDA)警告称,不要随意使用羟氯喹和氯喹这两种药物 。FDA说,羟氯喹和氯喹这两种药物由于可能产生严重的副作用,因此只应在医院环境或临床试验中使用 。FDA表示有报告称,在使用该药物及阿奇霉素或其他可能影响心脏的药物联合使用时,部分新冠肺炎患者中出现了“严重的心律失常” 。
“我们也意识到,通过门诊处方使用这些药物的患者越来越多,”FDA表示 。“因此,我们希望提醒医护人员和患者注意与羟氯喹和氯喹相关的已知风险 。”
推荐阅读
- 三代美国黑人街头争吵,连中国网民都看哭了……
- 美国亚裔店铺还是被砸了……
- 追责!美国明尼苏达州圣保罗市市长:对非洲裔男子暴力执法是严重侮辱人性
- 中美科学家即将发布最新论文,推进新冠病毒宿主研究
- 推荐什么思维?抗议示威愈演愈烈,美国却要求俄罗斯、中国、津巴布韦负责......
- 美国首都变“战场”:军用直升机低空驱散人群
- 没结束!美军又一艘万吨巨舰暴发疫情
- 美国抗议者要抵制这些中国人熟悉的餐馆了!
- 推荐美国抗议活动持续发酵,女记者正直播突然被闪光弹击中!画面曝光
- 美国首都变“战场”:军用直升机现身华盛顿低空盘旋驱散人群
