「数学」函数性质、图像、四大变换、对称性、周期性等所有的内容,这里都有!(绝对干货)

文章图片

文章图片

文章图片

文章图片

文章图片

文章图片

文章图片

文章图片
对于高中生而言 , 相信最痛苦的莫过于函数了 , 因为不管是哪个章节 , 基本上都离不开函数的身影 , 但是函数本身内容繁杂 , 涉及面太广了 , 一般程度的学生都很难搞定 。 而且做函数题目也没有明确的思维逻辑 , 不知道怎么下手!那么接下来老师就为大家盘点一下函数该怎么处理!
首先函数从整体上可以分为五大函数 。
第一:常见函数 。 包括:一次函数 , 反比例函数 , 二次函数 , 指数函数 , 对数函数 , 幂函数 , 对勾函数 , 正弦函数 , 余弦函数 , 正切函数共计10大函数 。
第二:复合函数 。 用最通俗的话就是一个函数原来的自变量现在变成了另一个新的函数 。 比如我们最常见的这些看似很常见的函数其实都是复合函数 。
第三:四大变换后的函数 。 就是函数通过平移 , 翻折 , 对称 , 伸缩等变换 。
第五:抽象函数 。 就是只告诉你函数性质但是没有具体解析式 , 这种函数可以说是最简单的 , 也可以说是最难的 。 简单在于你只要找个符合函数性质的函数均可 , 难在于你如果不理解的话 , 第一步就迈不出去 , 因为你完全不知道怎么下手!
其次函数的性质通过类比即可分析 , 下面就以单调性为大家简单分析一下:
很多学习完导数后的学生 , 求解任何函数单调性就想着用求导的方式 , 其实这个想法完全错了 , 杀鸡焉用牛刀 , 甚至 , 你剪个指甲用杀牛的刀还不合适呢 。 那么该怎么办呢?
建议按照我刚才分析的五大函数先后顺序分析 。
第一:属于常见函数的直接判定即可 。
第二:复合函数:满足同增异减 。
第三:四大变换后的函数 , 你需要非常熟悉这四种变换的形式 , 如何变化我后面已经为大家整理好了 。 大家可以参考一下 。
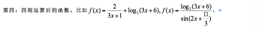
第四:四则运算后的函数 , 增函数+增函数=增函数 , 减函数+减函数=减函数 , 就这么简单 。
第五:实在不属于上面几种情况的你再进行求导分析 。 这个才是正确的顺序 , 大家明白了吗?
最后函数在做题的时候绝大多数的题目都讲究——数形结合;
当然 , 数形结合也不是要求大家一定精准作图 , 要看情况 , 比如:求解值域的问题的时候 , 只需判定单调性即可 , 无需那么精准;但是如果让你判定零点个数或者交点个数的时候必须要精准才行 。
推荐阅读
- 高中数学|《高中数学巧学巧解大全》共77页,3年都能用,高中生提分必备
- 数学|最新出炉:2021高考数学必考题型讲解,必须收藏!
- 数学|没有被引导的普职比,你都不知道高考的独木桥有多窄
- 物理|新高考最难学的科目是什么?数学公认第一,第二化学物理不分伯仲
- 高中数学|高中数学:高考数学51页高分答题模板,可打印!
- 数学|他高考作文只写了28个字,大学院长看后激动:这个学生,我要了
- 数学|备战2021年高考数学,新题型专项训练,不可多得的压轴题
- 数学|整整300多页!新高考数学小题满分攻略,冲击高分从此开始~
- 数学|二年级数学第6单元,乘法口诀越来越难,3个知识点别忽视了
- 数学|2021高考数学如何刷题,衡中学霸告诉你三个刷题技巧,轻松140+
