#数学#高考数学能考到140分以上,哪种压轴题必须会?试试这一类

文章图片

文章图片

文章图片

圆锥曲线部分属于高考数学的重点与难点 , 其中直线与圆锥曲线的位置关系更是高中数学的重要内容 , 也是高考数学试题的热点之一 。
直线与圆锥曲线的位置关系主要围绕直线与圆锥曲线相离、相切、相交展开 , 并衍生出弦长 , 中点弦等相关问题 。 直线与圆锥曲线在解析几何 , 代数 , 三角和平面向量中均有论述 , 是高考数学的主干知识和重点考查内容 。
直线与圆锥曲线相关知识内容和题型 , 在全国各地高考数学当中都涉及这部分内容 。 高考对直线与圆的方程主要考查二者的位置关系及相关联的求弦长、三角形面积等问题 , 考查的数学思想主要是数形结合、函数与方程等数学思想方法 , 试卷中一般以基础题和中档题为主 。
基本的研究方法分为两类:
一是联立直线与圆锥曲线方程 , 运用Δ判断交点个数 , 从而得到两者的位置关系 , 这一方法基本固定 , 但在范围问题中 , Δ却是提供参数范围的一个最常用的不等式 , 十分重要;
二是针对中点弦这一特殊问题的专用方法——点差法 。
直线与圆锥曲线有关的高考试题分析 , 讲解1:
如图 , 已知曲线C1:x2/a2+y2/b2=1(a>b>0 , y≤0)的离心率e=√6/3 , 且经过点G(1 , ﹣√6/3) , 曲线C2:x2=2y , 过曲线C1上一点P作C2的两条切线 , 切点分别为A , B.
(Ⅰ)求曲线C1的方程;
(Ⅱ)求△PAB面积的最大值与最小值.
考点分析:
椭圆的简单性质.
题干分析:
(Ⅰ)运用椭圆的离心率公式和点满足椭圆方程 , 求解方程组得到a , b的值 , 则椭圆方程可求;
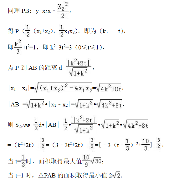
(Ⅱ)设AB所在直线方程为y=kx+t , 联立直线方程和抛物线方程 , 化为关于x的一元二次方程 , 利用根与系数的关系求得A , B的横坐标的和与积 , 再分别写出过A , B的抛物线的切线方程 , 运用导数求得切线的斜率 , 得到切线方程 , 联立两切线方程求出P的坐标 , 代入椭圆方程得到k , t的关系 , 再由弦长公式求出|AB| , 由点到直线的距离公式求出P到AB的距离 , 代入面积公式 , 利用配方法求得S△ABP的最值.
直线与圆锥曲线有关的高考试题分析 , 讲解2:
以F1(﹣2 , 0) , F2(2 , 0)为焦点的椭圆C:x2/a2+y2/b2=1(a>b>0)经过点A(2 , 3).
(1)求椭圆C的方程;
(2)过原点的直线l交椭圆C于M、N两点 , P为椭圆C上的点 , 且与M、N不关于坐标轴对称 , 设直线MP、NP的斜率分别为k1 , k2 , 试问:k1 , k2的乘积是否为定值?若是 , 求出该定值 , 若不是 , 请说明理由.
考点分析:
椭圆的简单性质.
题干分析:
(1)由题意可得c=2 , 即a2﹣b2=4 , 将A(2 , 3)代入椭圆方程 , 解方程可得a , b , 进而得到椭圆方程;
(2)由题意可设M(m , n) , N(﹣m , ﹣n) , P(s , t) , 代入椭圆方程 , 作差 , 再由直线的斜率公式计算即可得到所求定值.
【#数学#高考数学能考到140分以上,哪种压轴题必须会?试试这一类】
推荐阅读
- [理综]高考理综290分是什么水平?文综可以考到290分吗?
- 【理综】高考倒计时,理综怎样才能分数最大化?这些技巧你掌握了吗?
- 【】还有3天就要高考,高考考场已经布置好,今年高考有什么变动先看看考场
- ▲高考毕业,不建议报考的六大专业,你准备好了吗?
- 【高校】高考成绩中等的学生,适合报考这5所大学,将来很好就业
- #苟晶#关注高考事件,我们全被苟晶给骗了
- 「」7张真实照片揭露高考前夕这3个人到底有多累!让人看完感动到落泪
- 『高考作文』755字高考满分作文,30字无人能识,阅卷组长亲自出马写2000字注
- 「江苏省」高考最“委屈”的两个省,低分就能读清华,却是公认的国内最难
- 考试@为什么越来越多的老师不愿意高考监考了?3点原因不容忽视
