[高中数学]高中数学,数列知识点总结归纳,高中生请进。
![[高中数学]高中数学,数列知识点总结归纳,高中生请进。](https://image.uc.cn/s/wemedia/s/upload/2020/cea9c3aebc9dd867eef944177241f1e0.png)
文章图片
![[高中数学]高中数学,数列知识点总结归纳,高中生请进。](https://image.uc.cn/s/wemedia/s/upload/2020/e782222b79872168ad3d0ed245b0420f.png)
文章图片
![[高中数学]高中数学,数列知识点总结归纳,高中生请进。](https://image.uc.cn/s/wemedia/s/upload/2020/6c74027170d4ddaa54cbd2542c561fdf.png)
文章图片
![[高中数学]高中数学,数列知识点总结归纳,高中生请进。](https://image.uc.cn/s/wemedia/s/upload/2020/10ccab39ec69c7034d1943c6e880daa4.png)
文章图片
![[高中数学]高中数学,数列知识点总结归纳,高中生请进。](https://image.uc.cn/s/wemedia/s/upload/2020/11489b85859e2faba989bbafa8f806a3.png)
以下是由我们清北助学团的学姐们总结出来的高中数学数列知识点总结和常用方法 , 希望可以帮到你们 。
完整版电子电子领取方式--点击头像加关注--私信(数学)即可免费获取 。
等差数列定义与性质
等比数列定义与性质
求数列通项公式的常用方法
求差(商)法
叠乘法
【[高中数学]高中数学,数列知识点总结归纳,高中生请进。】等差型递推公式
等比型递推公式
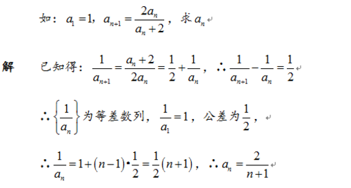
倒数法
其实 , 高考并没有那么难 , 很多时候都在考察学生的基础知识!高考年年都有500多分的必考题其实换汤不换药 , 有高分模板或快速解题技巧 , 然而80%的学生不知道这些命题的真相 , 不会这些应试技巧 , 可想而知高考是要吃亏的!
清华北大200多名学霸 , 免费分享学习技巧 , 解读高考出题规律!帮助学生快速提分!
获取方式;私信学习技巧 即可获取 。
推荐阅读
- 警察@高中生怎么才能当警察?看看你有没有满足这4个要求
- 高考:1997年的中专很难考吗?高中毕业考上中专的现在能考上一本吗?
- 【宿舍】高中宿舍“没的最快”的3种东西,尤其第2种,学生:比曹操都快
- 「亳州」亳州首屈一指四所重点高中,亳州一中一马当先,其他三所你可知晓
- 初中数学@初中数学丨动点最值问题19大模型+例题详解,彻底解决压轴难题
- 「数学」这3个大学专业挂科率很高,毕业后还很难找工作,报考要慎重
- ##高中生家里没钱没背景,可选择这几个大学专业,毕业至少5000起!
- 中考@还在做这4种“无用功”的初中生,班主任:可能无缘好高中
- 『娄底』湖南娄底独占鳌头五大高中,堪称重点大学优质生源基地,值得关注
- 「中小学」为什么补课和不补课的初中生,升入高中后差距很大?原因有3点!
