『高中数学』高考149分学霸精心整理45条高中数学必备公式与知识点,转给孩子

文章图片

文章图片

文章图片

文章图片

文章图片

文章图片

文章图片

文章图片

文章图片
2.函数的奇偶性
今日的读者 , 可以私信我“方法”免费获取9科复习资料!
3.函数在某处的导数的几何意义
4.几种常见函数的导数
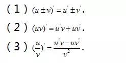
5.导数的运算法则
6.求函数的极值
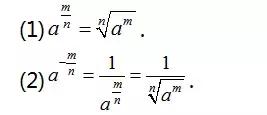
7.分数指数幂
8.根式的性质
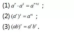
9.有理数指数幂的运算性质
10.对数公式
11.常见的函数图像
12.同角三角函数的基本关系式
13.正弦、余弦的诱导公式
14.和角与差角公式
15.二倍角公式
16.三角函数的周期
17.正弦定理
18.余弦定理
今日的读者 , 可以私信我“方法” 免费获取9科复习资料!
推荐阅读
- [理综]高考理综290分是什么水平?文综可以考到290分吗?
- 【理综】高考倒计时,理综怎样才能分数最大化?这些技巧你掌握了吗?
- 警察@高中生怎么才能当警察?看看你有没有满足这4个要求
- 【】还有3天就要高考,高考考场已经布置好,今年高考有什么变动先看看考场
- ▲高考毕业,不建议报考的六大专业,你准备好了吗?
- 【高校】高考成绩中等的学生,适合报考这5所大学,将来很好就业
- #苟晶#关注高考事件,我们全被苟晶给骗了
- 「」7张真实照片揭露高考前夕这3个人到底有多累!让人看完感动到落泪
- 『高考作文』755字高考满分作文,30字无人能识,阅卷组长亲自出马写2000字注
- 「江苏省」高考最“委屈”的两个省,低分就能读清华,却是公认的国内最难
