「招生」迎战高考!清北学霸总结:高考数学100个高频考点,考前必看

文章图片

文章图片

文章图片

进入考前最后阶段 , 学姐想说的是:小伙伴们一定要明确 , 现在正做着的题 , 一定不是考试的题目 。 而是要运用现在正做着的题目的解题思路与方法 。 因此 , 要把自己做过的每道题加以反思 , 总结一下自己的收获 。 要总结出:这是一道什么内容的题 , 用的是什么方法 。 做到知识成片 , 问题成串 。 日久天长 , 构建起一个内容与方法的科学的网络系统 。
下面给大家说说应试技巧:先说选择题 , 有一个好处就是我们有四分之一对的概率 , 而我们要做的就是提高这个概率 。 填空题:可以根据题意进行猜测 , 当然是在你实在不会的前提下 。
我上面说的只是在你不会的情况下的小技巧 , 还有一个月的时间 , 现在还算来得及 , 任何考试都是靠你的知识积累和平常的总结 , 不要靠投机取巧 , 那样不会有太好的结果 。
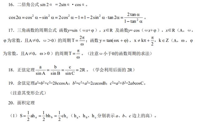
现在学姐带大家来看看这份高考100个高频考点!希望同学们仔细阅读 , 花十天时间理解透 , 你的数学成绩至少提高30分 。
因为篇幅有限 , 下面只是部分分享 , 完整电子版领取方式:点赞关注学姐 , 私信【高考数学】就可以免费领取啦!
【「招生」迎战高考!清北学霸总结:高考数学100个高频考点,考前必看】
推荐阅读
- [理综]高考理综290分是什么水平?文综可以考到290分吗?
- 【理综】高考倒计时,理综怎样才能分数最大化?这些技巧你掌握了吗?
- 【】还有3天就要高考,高考考场已经布置好,今年高考有什么变动先看看考场
- ▲高考毕业,不建议报考的六大专业,你准备好了吗?
- 【高校】高考成绩中等的学生,适合报考这5所大学,将来很好就业
- #苟晶#关注高考事件,我们全被苟晶给骗了
- 「」7张真实照片揭露高考前夕这3个人到底有多累!让人看完感动到落泪
- 『高考作文』755字高考满分作文,30字无人能识,阅卷组长亲自出马写2000字注
- 「江苏省」高考最“委屈”的两个省,低分就能读清华,却是公认的国内最难
- 考试@为什么越来越多的老师不愿意高考监考了?3点原因不容忽视
