苏州大学▲苏州大学30个院系拟录取名单

文章图片
【苏州大学▲苏州大学30个院系拟录取名单】
文章图片

文章图片

文章图片

文章图片

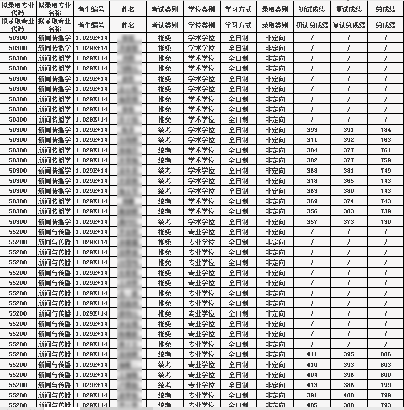
20考研已经接近尾声了 , 很多院校公布了拟录取名单 , 小编整理了苏州大学30个院系拟录取名单 , 因为平台限制!有需要的可以私信【苏州大学】获取详细链接 , 或者私信小编直接要详细名单哦!
政治与公共管理学院
东吴商学院(MBA)
王健法学院
教育学院、教育科学研究院
体育学院
文学院
传媒学院
艺术学院
社会学院
很多院校的复试和调剂工作已经结束了 , 很多院校的拟录取名单也将不断公布 , 在这里希望大家都能成功录取 , 成功上岸 。 拟录取名单是有公示日期的哦 , 公示期间如有异议 , 于公示期内通过书面实名方式向学院反映 。 如果有不知道怎么去查询院校拟录取名单的也可以留言区评论或者私信小编哦!
想了解更多精彩内容 , 快来关注江苏文都考研
推荐阅读
- 填报志愿:高三家长请注意,填报志愿用好以下方法,孩子稳稳上好大学
- #中国科学技术大学#中国科学技术大学2019年在各省录取最低位次,考上的都是真学霸!
- 【高校】高考成绩中等的学生,适合报考这5所大学,将来很好就业
- 北京农学院▲这三所二本大学,今年比较有可能降分录取,捡漏的学生千万别错过
- 『硕士研究生』考生家长注意:这3所985大学就业率低于90%,其中一所名气特别大!
- 「」10个专业性很强的大学专业,毕业后工作好找!
- #高校#77所教育部属大学年度经费汇总:21所出现负增长,20校增长破5亿
- 西湖大学@清华的副校长离职后,创办西湖大学放言要超过北大清华,如今变成怎样了?
- 国企@这2所大学,王牌专业有特色,性价比较高,毕业生非常受国企青睐
- 【高校】这4类大学“不建议”报考,最后一类坚决不能报,高考生别踩雷!
