『斯韦』老张谈电机NO.2:麦克斯韦方程组

文章图片

文章图片
因为电机作为实现能量转换的装置 , 绝大部分也是以电磁能量转换为基础而实现各种功能 , 所以今天老张就带大家来看看电磁场基本理论中核心的麦克斯韦方程组 。
首先 , 为什么麦克斯韦方程组那么重要?
【『斯韦』老张谈电机NO.2:麦克斯韦方程组】1864年 , 麦克斯韦全面总结了电生磁和磁生电的现象 , 同时将法拉第电磁感应定律的适用范围推广到所有的煤质中 。 其次 , 引入了唯一电流的概念 , 将恒稳磁场的安培环路定律修改适用于时变场的全电流定律 。 最后 , 麦克斯韦认为静电场的高斯定理和稳恒磁场的磁通连续性原理推广到时变场后任然成立 。
老张先把麦克斯韦方程组拿出来镇楼 。
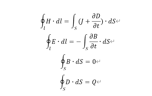
大概介绍一下就是第一组为微分形式 , 第二组为积分形式 , 第三组为电磁场的辅助方程 。 简单点来说 , 微分形式主要是从一个点来描述的 , 积分方程是从一个面的磁场分布来描述的 。 同样的 , 可以理解为微分形式是微观表达式 , 积分形式是宏观表达式 。 最后一组则是静止 , 均匀 , 线性和各项同性媒质的电磁方程 , 里面的每个常数大家有兴趣可以自己去了解 。
麦克斯韦方程组全面的描述了电场和磁场间的相互联系、电磁场和场源之间的关系以及电磁场与其所处媒质之间的关系 。
第一方程就是全电流定律 , 其中H为磁场强度 , J为运导电流密度 , D为电荷密度 , 解释了变化的电场产生磁场 。
第二方程就是大家熟知的法拉第电磁感应定律 , 解释了变化的磁场产生电场 。
第三方程就是磁通连续性方程 , 解释了磁力线一定是闭合的 , 发出和返回的数量相等 。
第四方程就是高斯定律 , 解释了闭合面上的电力线总和等于该面所包围的电荷总和 , 电力线由正电荷发出指向负电荷或无穷远 。
在这里 , 老张要画个重点 。 麦克斯韦方程组的重要意义在于 , 它对静止媒质中宏观电磁现象的普遍规律做出了高度概括性总结 , 是电磁场的基本方程 。 在宏观电磁场理论中的地位 , 犹如定律在经典力学中的点位一样 。 这也正是 , 电机的所有分析的理论基础 。
如果你喜欢这样的内容或者有什么建议与意见 , 欢迎关注“老张谈电机” , 并且评论给我 。 您的关注/评论/转发/点赞会让更多的朋友看到这篇文章 。
如果你是从业者 , 或者对电机有疑问 。 欢迎搜索“老张谈电机”关注老张 。
图片素材均来自网络 , 侵删 。
推荐阅读
- 太昌通风降温|工业大风扇采用永磁同步电机的优点及原理
- 电动车第一线|配备动力电机,最大可配48V24Ah锂电池,雅迪又推新电动车
- 众致电机|终于弄清楚了!无刷电机和有刷电机主要区别原来是这些!
- EOCR电动机保护器|EOCR-FMZ2/EOCRFMZ2-WRAUWZ智能电机综合保护器施耐德韩国三和原装进口
- 天天爱逗乐|新能源汽车第七批推荐目录2020电池电机配套分析-专用车
- 野生喵|大功率变频器选型技巧
- 大众网|可将Model 3双电机版升级为性能版,黑客入侵特斯拉软件
- 游侠网|跳票10年!翘首以盼的詹姆斯韦伯太空望远镜再延期
- 工控爱好者|分析大功率电机该如何选择变频器型号
- 太平洋电脑网|外媒:美国宇航局的詹姆斯韦伯太空望远镜通过测试
