卷面|2020下教资报考人数恐超1000万!考多少分才安全?
_原题为 2020下教资报考人数恐超1000万!考多少分才安全?
文章图片
今天小编要分享一件大家都会好奇的事情——分数线 。 最近刚巧更省市发布2020高考分数线 , 又将会是几家欢乐几家愁 , 同样是考试 , 教师资格证到底考多少分 , 笔试才能合格?
很多同学是第一次报考教师资格证 , 拿到资料后可能一头雾水 , 为什么卷面满分是150分 , 报告满分却变成了120分?报告合格分又变成了70分?我到底考多少分才算合格啊!
【卷面|2020下教资报考人数恐超1000万!考多少分才安全?】小编这就为大家详细说明 。
友情提示:计算过程复杂 , 小白考生们需要集中注意力!
卷面分数≠报告分数
首先 , 教师资格证真题的实际卷面满分是150分 , 报告满分是120分 , 具体的概念及换算关系如下:
卷面满分:指平时做的真题卷分数 , 满分为150分 。
报告满分和报告及格分:指卷面满分通过公式换算的分数 , 满分为120分;报告合格分数为70分 。
报告分数就是你查成绩时的分数!只要你的报告分数≥70分 , 就合格啦!
老师在阅卷的时候 , 会根据150分的卷面满分标准 , 为你打一个卷面得分 , 之后再依据一定的换算标准 , 折合成报告得分 。
其中的换算标准请往下看 。
换算标准:通过率
教师资格证考试是竞争性考试 , 通过设置比率以筛选出优质的教师资源 。 每个省份的通过率是不同的 , 经过历年观察 , 大概在30%左右 。
那么通过率是怎样影响分数的呢?
举个例子:某省 , 去年教师资格证考生共9000人 , 通过率30% , 第2700名考生卷面分数90分 , 所以90分是及格分数;今年考生共10000人 , 通过率29% , 第2900名考生卷面分数92分 , 所以92分是及格分数 。
也就是说 , 考生的整体水平 , 是影响合格分数浮动的重要因素 。
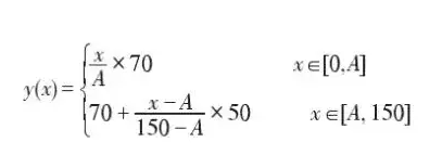
换算公式
卷面分数<及格分数时:Y(X)=X/A*70
卷面分数≥及格分数时:Y(X)=70+(X-A)/(150-A)*50
文章图片
其中X=卷面分数 , A=及格分数线 , Y(X)=转换后的分数(也就是你能查到的分数)
假如你的卷面得分是100分 , 而考试方依照比率设置的及格分数线是90分 , 那么你的报告分数=78.33分 , 大于70分 , 表示成绩合格 。
假如你的卷面分是88分 , 考试方依照比例设置的及格分数线是90分 , 那么报告分数=68.44分 , 低于70分 , 表示成绩不合格 。
假如你的卷面分是90分 , 及格分数线也是90分 , 那么报告分数=70分 , 表示成绩合格 。
到底考多少分才能保证通过?
很多考过的同学会有这样的疑惑 , 科目一简单有把握却没通过 , 科目二难度大没底气反而通过了 。
结合我们前面讲过的通过率就不难理解了 , 科目一考查的内容通俗易懂 , 你觉得容易就没有下工夫去学习 , 正好其他人都这样认为 , 导致大家考试成绩都差不多 , 如果成绩正好卡在通过率及格线上 , 那么很容易就不过;科目二考查的内容专业性强 , 一难俱难 , 但你专心复习了 , 所以比其他人表现更好一些 , 因此就过了 。
整体而言 , 教师资格证笔试想要合格 , 科目一的保守卷面分数应该在90+ , 科目二的保守卷面分数应该在85+ 。
分数越高 , 通过考试的几率就越大 。
下半年教师资格报考人数可能超过1000万 , 再加上“先上岗 , 再考证”政策的时间限制让许多小伙伴有了“必须一次上岸”的理由 , 因此 , 建议小伙伴们早点开始准备 。
推荐阅读
- 电视剧|2020下半年人气最高的古装剧,坦诚夫妇各一部,你最期待谁?
- 教学|早读晚修、改卷面批一个不少!华附引入高校专家任教高中
- 缴费|最后7天!教资报名只能用电脑?
- 考试|教资笔试报名竞争激烈?除了免考生!他们最幸运!
- &|爱婴岛&合生元2020下半年战略合作会议圆满成功
- 直播|2020下半年,零售业将迎来8大改变!
- 考试|教资笔试考60分,我过及格线了吗?
- 酱香酒|刚刚结束的郑州秋季糖酒会,预示了哪些2020下半年酱香酒的趋势!
- 小学|教资面试居然又加了两项注意点!!!
- 工装裤|忘记阔腿裤吧!2020下半年最流行的裤子长这样呀
