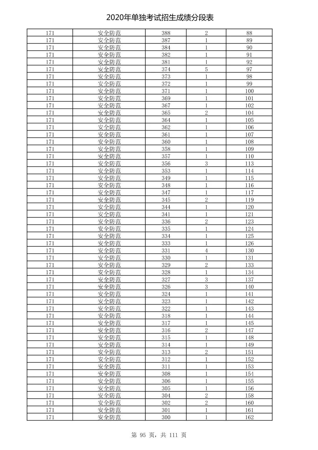
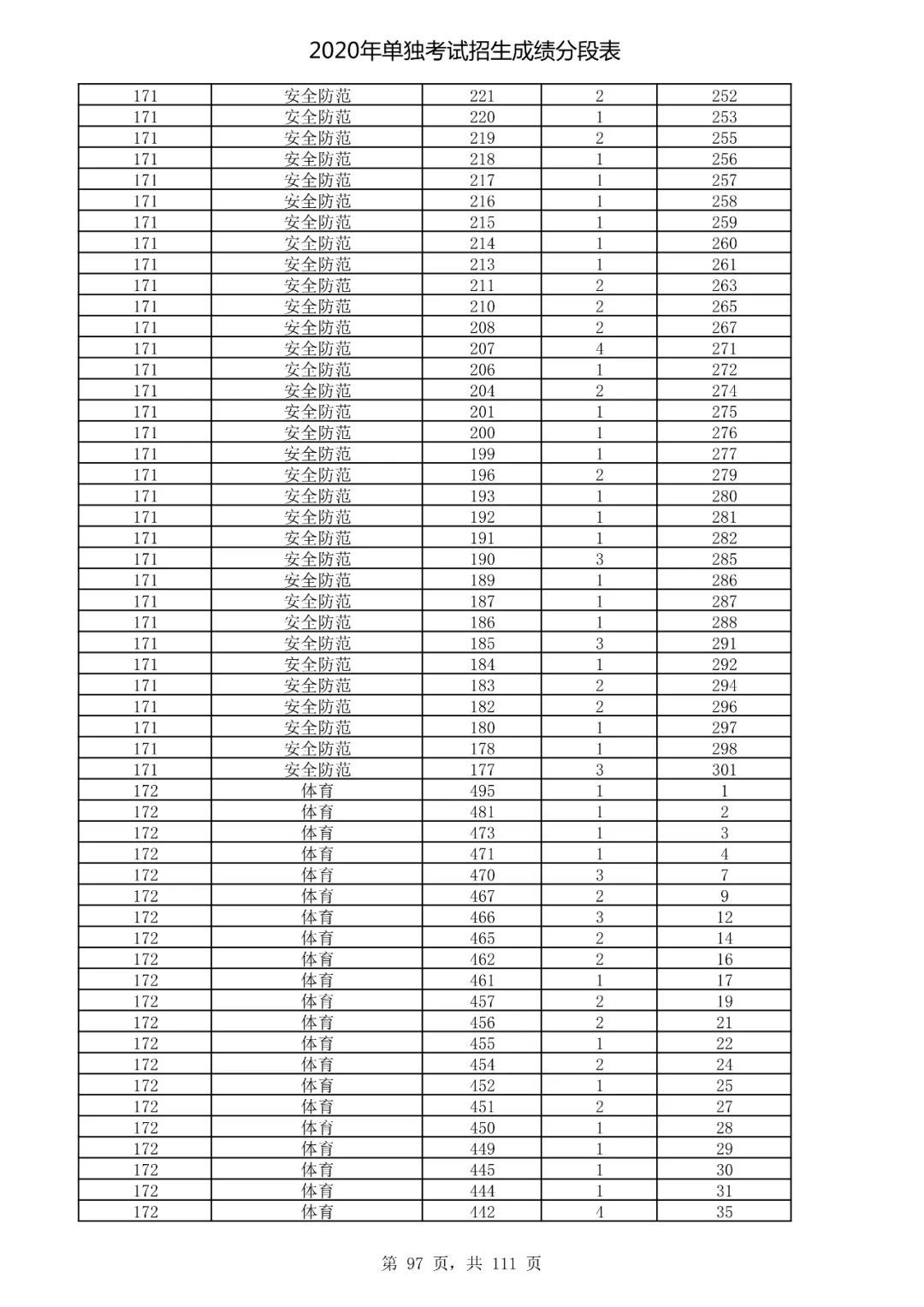
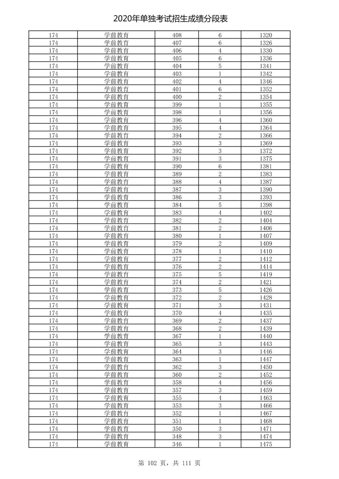
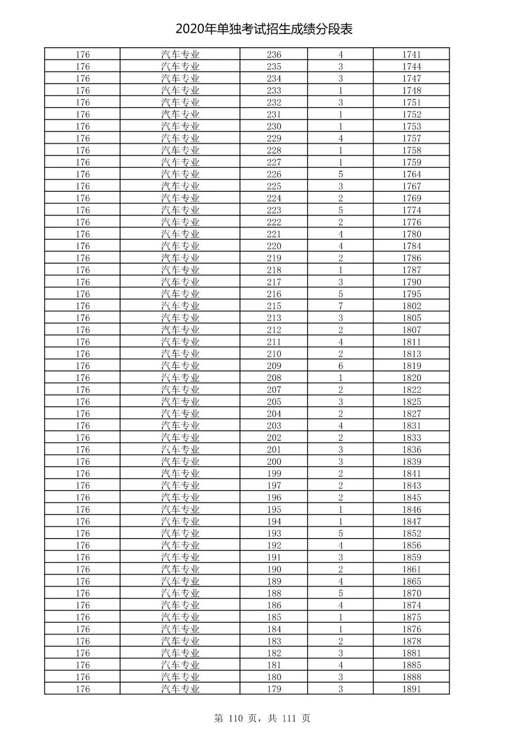
成绩|速看!2020高考艺术类、体育类及单独考试招生综合分(成绩)分段表出炉!( 四 )
文章图片
文章图片
文章图片
文章图片
文章图片
文章图片
文章图片
文章图片
文章图片
文章图片
文章图片
文章图片
文章图片
文章图片
文章图片
文章图片
文章图片
文章图片
文章图片
文章图片
文章图片
文章图片
文章图片
推荐阅读
- 征收|2020城乡居民基本医疗保险征收工作 9月1日正式开始
- 山东|探索青年学生助力乡村振兴新模式,2020年“清华学子山东行”圆满收官
- 【净网2020】打击治理跨境赌博|【净网2020】打击治理跨境赌博,保护群众财产安全
- 圆满结束|关注2020高招 本科一批录取圆满结束 共计录取82120人
- 飘逸|《创造营2020》颜值前十名你认可么姜贞羽飘逸,郑乃馨呆萌
- 标准地图|2020年标准地图发布, 一点都不能错!
- 2020|青岛银行公布2020年中期业绩: 资产总额超4405亿元 持续稳健增长
- 2020|扩散周知!自然资源部:2020年标准地图发布
- 消息资讯|安庆皖江中等专业学校2020级新生军训汇报表演展成果
- 洪恩|洪恩教育荣获2020行业影响力品牌奖
