刚刚,2020年粤本科批次投档情况全公布,投出16.9万人!
南都讯 采访人员董晓妍 通讯员粤考宣19日凌晨 , 广东省教育考试院公布广东省本科批次普通文理类最低分数线上投档情况 。
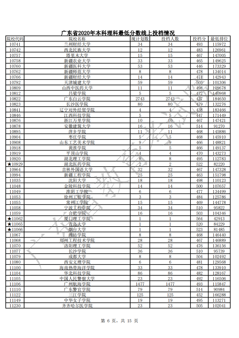
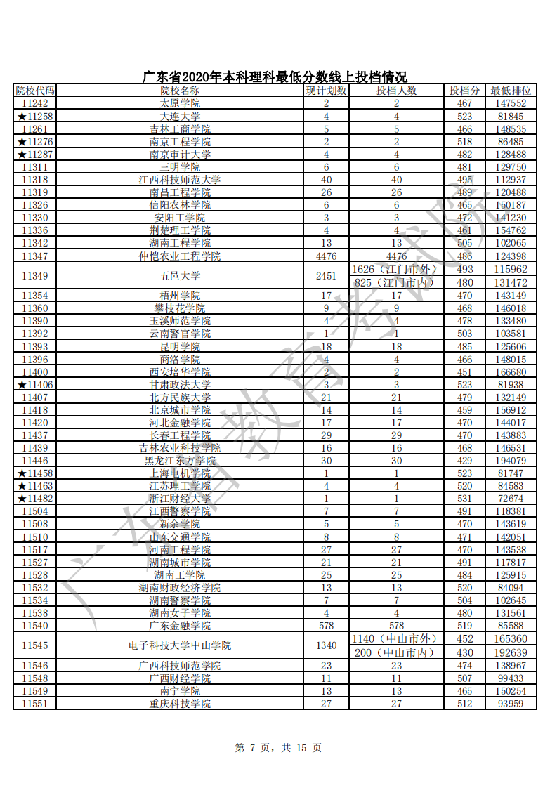
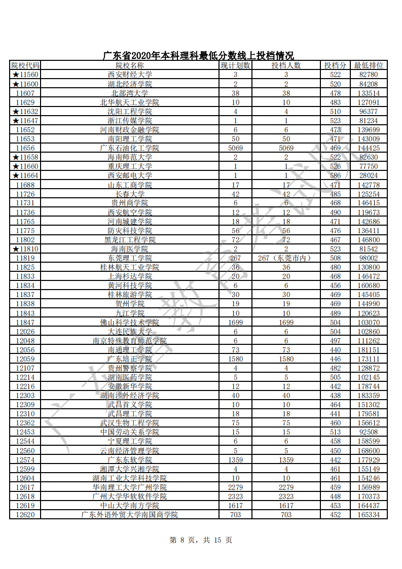
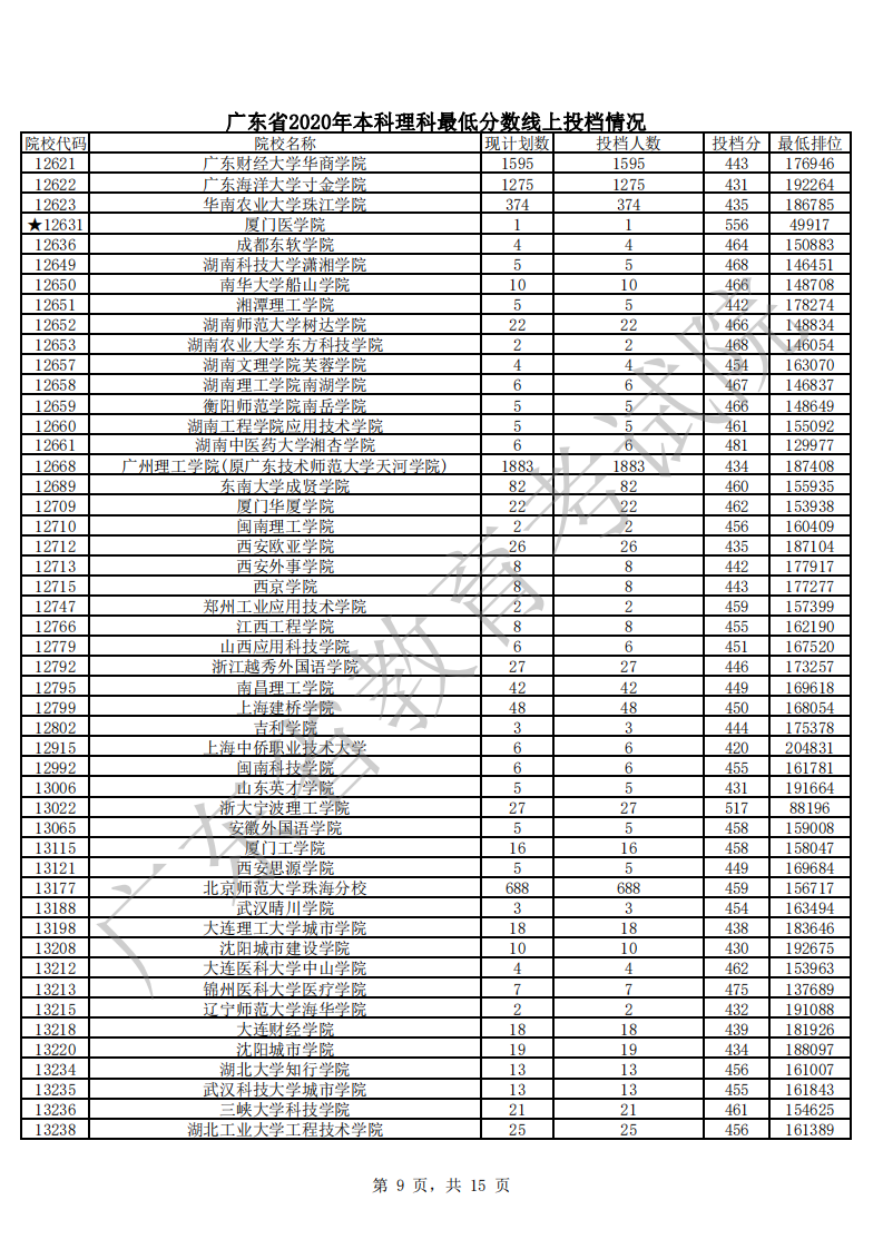
18日 , 本科院校普通文理类高分优先投档线上考生录取结束 , 共录取88487人 , 其中文科录取17082人 , 理科录取71405人 , 退档396人 , 退档人数较去年进一步减少 , 退档率为0.4% , 比去年低0.1个百分点 , 退档原因主要是不服从专业调剂所致 。 18日晚上 , 省招生办对本科院校普通文理类最低分数线上考生进行了投档 , 共投出169297人 , 其中文科投出63564人 , 理科投出105733人 。 从投档情况看 , 主要呈现以下三个特点:
二是公办高校继续受到考生“追捧” , 投档线居高不下 。 今年公办高校几乎全部满档 , 并且投档线普遍较高 。 省内往年的“热门”院校 , 今年热度不减 , 投档线基本接近或超过高分优先投档线 。 如广东财经大学文科投档线为535分 , 广州中医药大学文、理科投档线分别为535分、539分 , 广东警官学院文、理科投档线分别为534分、514分 , 广州医科大学文、理科投档线分别为533分、539分 , 深圳技术大学文科投档线为532分 。 省外理工类、财经类、医学类、师范类等院校受考生欢迎 , 投档分普遍较高 。
三是民办院校、独立学院进一步得到社会认可 , 生源质量不断提升 。 近年来 , 民办院校和独立学院的办学水平和教学质量不断提升 , 吸引了越来越多的考生填报 , 大部分院校投档线都比较高 , 特别是一些办学基础较好的独立学院远超本科最低投档线 。
根据招生录取日程安排 , 本科批次院校录取将于21日结束 , 随后省招生办将对尚未完成招生计划的高校进行征集志愿录取 。
文章图片
文章图片
文章图片
文章图片
文章图片
文章图片
文章图片
文章图片
文章图片
文章图片
文章图片
文章图片
文章图片
文章图片
文章图片
文章图片
文章图片
文章图片
文章图片
文章图片
文章图片
推荐阅读
- 暴露|《奔跑吧》刚刚收官,baby蔡徐坤合体录新综艺,站位暴露两人关系
- 山东|探索青年学生助力乡村振兴新模式,2020年“清华学子山东行”圆满收官
- 浙样的生活|刚刚,抓到了!
- 圆满结束|关注2020高招 本科一批录取圆满结束 共计录取82120人
- 标准地图|2020年标准地图发布, 一点都不能错!
- 2020|青岛银行公布2020年中期业绩: 资产总额超4405亿元 持续稳健增长
- 2020|扩散周知!自然资源部:2020年标准地图发布
- 马斯克|马斯克发布脑机接口重大突破,其实也才是刚刚起步
- 刚刚,华春莹用英日双语发推:我们赞赏安倍晋三首相为改善中日关系所作的努力,祝愿早日康复
- 跳水|关注丨确认了!刚刚,日本首相安倍宣布辞职,股市直线跳水
