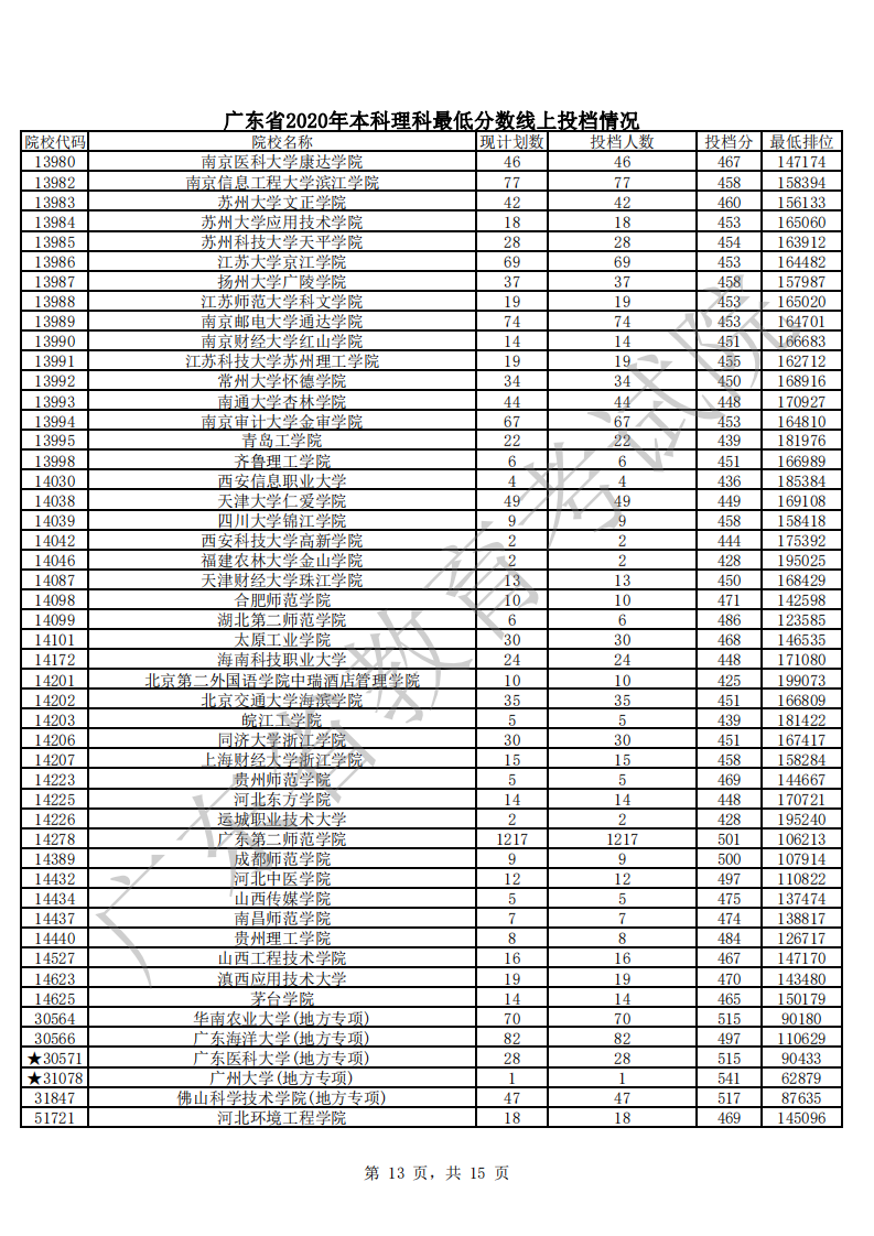
刚刚,2020年粤本科批次投档情况全公布,投出16.9万人!( 二 )
文章图片
文章图片
【刚刚,2020年粤本科批次投档情况全公布,投出16.9万人!】
文章图片
文章图片
文章图片
文章图片
图源:广东省教育考试院
推荐阅读
- 暴露|《奔跑吧》刚刚收官,baby蔡徐坤合体录新综艺,站位暴露两人关系
- 山东|探索青年学生助力乡村振兴新模式,2020年“清华学子山东行”圆满收官
- 浙样的生活|刚刚,抓到了!
- 圆满结束|关注2020高招 本科一批录取圆满结束 共计录取82120人
- 标准地图|2020年标准地图发布, 一点都不能错!
- 2020|青岛银行公布2020年中期业绩: 资产总额超4405亿元 持续稳健增长
- 2020|扩散周知!自然资源部:2020年标准地图发布
- 马斯克|马斯克发布脑机接口重大突破,其实也才是刚刚起步
- 刚刚,华春莹用英日双语发推:我们赞赏安倍晋三首相为改善中日关系所作的努力,祝愿早日康复
- 跳水|关注丨确认了!刚刚,日本首相安倍宣布辞职,股市直线跳水
