病毒|广东新研究成果发布!新冠病毒复阳与缺少保护性抗体有关
【病毒|广东新研究成果发布!新冠病毒复阳与缺少保护性抗体有关】新冠肺炎患者为何会复阳?为何有少部分患者出现二次感染的情况?这些问题不但引发了社会的关注 , 也成为了科研要解决的问题 。

本文图片
Cellular & Molecular Immunology在线发表
2020年10月9日 , Cellular & Molecular Immunology在线发表了由广州市第八人民医院新冠攻关课题组、深圳华大基因李俊桦课题组和广东省CDC柯昌文课题组共同完成的新冠患者病毒复阳的研究结果 。 该研究利用临床样本 , 结合病毒全基因组测序揭示了 , 病毒复阳与患者的中和抗体产生水平低下有关 , 是第一次病毒感染在体内的间歇性释放 。
广州市第八人民医院传染病研究所李锋博士介绍 , 该研究对289个有完整病史的新冠患者临床资料和随访资料作了分析 , 发现其中21个病人(占比7.3%)出现复查病毒RNA阳性 , 证明复阳现象具有代表性 , 且以消化道复阳为主 。 全长基因组进化树分析表明 , 复阳阶段的病毒来自于初次感染 。 此外 , 消化道上皮细胞内存在活跃病毒复制 。 “由此推断 , 消化道可能是新冠病毒长期复制并导致病毒间歇性释放的主要组织器官之一 。 ”李锋说 。
接着 , 该研究进一步分析了可能导致病毒复阳的因素 。 研究发现 , 病毒复阳与第一阶段的病毒清除快慢、病毒载量高低与疾病严重程度无关 , 也与患者年龄、性别无关 。 但在复阳阶段病毒载量明显降低 , 疾病严重程度也以轻症为主 。
李锋介绍 , 这说明复阳阶段的传染性明显降低 , 出院患者的管理上做好自我隔离 , 做好随访即可 , 不用耗费大量公共卫生资源和医疗资源进行预防和救治 , 社会也不必对此感到恐慌 。

本文图片
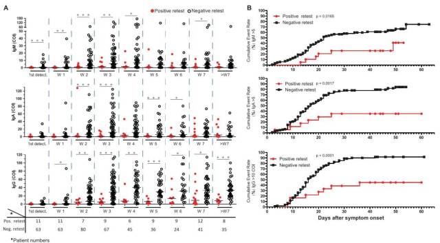
新冠病毒感染者RBD特异性抗体变化特征 。
那么 , 为何新冠病毒在消化道里“赖着不走”呢?该研究发现 , 复阳患者产生针对病毒受体结合区(RBD)特异的IgA和IgG抗体水平较低 , 速度较慢(图1) , 中和抗体水平可能也不够 。 研究人员由此推断 , 新冠患者不能及时产生足够的保护性体液免疫应答可能是导致新冠病毒在消化道持续存在并间歇性释放的主要原因 。
全球已经处在秋冬季病毒暴发期 , 复阳病人产生的抗体水平较低 , 在病毒流行区域 , 二次感染风险是否更大?李锋认为 , 该研究加深了对新冠病毒再现机制的理解 , 有助于制定相应出院后管理方案 , 也对研发高效保护力疫苗有借鉴价值 。
论文:A compromised specific humoral immune response against the SARS-CoV-2 receptor-binding domain is related to viralpersistence and periodic shedding in the gastrointestinal tract
原文链接:https://www.nature.com/articles/s41423-020-00550-2
【采访人员】朱晓枫
【通讯员】贾卫东
推荐阅读
- 中国新闻网|尼泊尔交通部部长感染新冠病毒 政府决定加紧增设高依赖病床
- 八一男篮|CBA最新排名!广厦登顶,广东宏远25分惨败,八一弃权被判0-20负
- 新华社|研究发现:新冠病毒可在人体皮肤上存活9个小时
- 我是球委会|35岁仍是核心,杜锋就靠他拿三连冠了,广东好消息!阿联能回归
- 美军2架侦察机飞往中国东南沿海|美军2架侦察机飞往中国东南沿海 在福建广东“近空侦察”
- 19|法国第一夫人因密切接触新冠病毒感染者采取自我隔离
- 美方|美军2架侦察机飞往中国东南沿海,在福建广东“近空侦察”
- 新华社|研究发现:26种常与人接触的动物有可能感染新冠病毒
- 人民日报客户端广东频道|抗美援朝老兵王侠:我是一块砖 哪里需要哪里搬
- 第一财经|联合瑞德西韦试验暂停后,礼来新冠病毒抗体其他研究仍继续
