故意|利用地面监控推断高楼抛物责任人

文章图片
现在高楼林立,一不小心,头顶上掉下来个东西,砸不死你也吓死你。以前有“抛砖砸死女婴”,最近有掉下小刀扎进脑袋的。
文章图片
2019年11月,最高人民法院印发《关于依法妥善审理高空抛物、坠物案件的意见》,明确对于故意高空抛物者,根据具体情形按照以危险方法危害公共安全罪、故意伤害罪或故意杀人罪论处,同时明确物业服务企业责任。
实施惩戒和赔偿,需要定位到责任人。有时因直接证据的缺少而导致可能责任人的范围太大。如何利用物理力学把责任人范围缩小呢?
一种办法就是各层都装上摄像头,各角度各位置全覆盖,这样一查录像便知道细节。但是这么多的摄像头,花费太高,开发商和小区业主都不太愿意出这笔费用。
“抛砖砸死女婴”事件经媒体报道后引起社会广泛关注。人们在为百日女婴过早地离开这个世界、父母悲痛欲绝而扼腕的同时,一个有关城市高空抛物威胁人们“头顶安全”的社会问题再次引起人们的热议。
2019年11月,最高人民法院印发《关于依法妥善审理高空抛物、坠物案件的意见》,明确对于故意高空抛物者,根据具体情形按照以危险方法危害公共安全罪、故意伤害罪或故意杀人罪论处,同时明确物业服务企业责任。 [1]
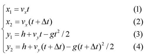
不管是小区,还是公共场所,地面监控还是很完善的,所以可以设法利用地面监控系统来推断抛物的抛出位置。这就需要利用物理力学。下面是分析示意图。
文章图片
【 故意|利用地面监控推断高楼抛物责任人】图中靠近地面的两点P1和P2坐标,可以从地面一层的监控中获得。一旦获得了这两个点数据,我们有
文章图片
从式(1)和(2)可以解出
文章图片
式(7)需要水平速度信息。如果没有水平速度,那么式(7)无法操作。一般来说,物体从室内抛出窗外,都是有水平速度的。如果故意从窗口无水平速度落下,那么落物将沿墙面落到墙根。这种情形的危害性不是很大,一是抛物者故意为之,二是行人故意贴着墙走的可能性不大。
如果非要考虑这种情形,那么可以先算出下落速度(y1-y2)/Δt,再根据初速为零的公式v^2=2gh可推算高度。如果抛物者故意向上或向下垂直抛,那么高度是推算不出来的,即便从视频中取再多的点也推算不出h。
讨论
【1】如果考虑空气的阻力,上述模型肯定要修改,但背后逻辑是一样的。因为要估计阻力(拖拽)系数,所以要从视频上读取更多的数据点。对能砸伤人的坚硬物,阻尼都很小。像小水滴、鸡毛这类物体,确实要考虑阻尼,但是对追究抛物责任人的意义不大。
【2】数据点够不够?假定大楼100m高(若每层三米,相当于33层)。忽略空气阻力下,落地速度为√(2*9.8*100) 米/秒=44.3 米/秒。如果地面监控摄像头视野为一层楼高(3m),那么抛物的飞行时间大约为3/44.3 秒=68 毫秒。摄像头一般每秒是25~30帧,即超过40ms就可以捕捉两个数据点,68毫秒足够了。
【3】如果有多个摄像头,可以相互印证。也可用数学方法把所有摄像头的数据融合起来寻找优化解(误差最小解)。这有成熟的算法。
【4】上面的模型是二维的,如果是立体情形,则至少需两个摄像头的信息。
【5】为了便于数据测量,可考虑在地面选择相对固定的地上参考物作为标定数据的信息。
【6】式(7)也可用于抛物碰到防盗网之类物体而弹起的情形。当然所得结果将是碰撞点的信息。
【7】上面的分析模型,中学物理就可以操作。也许哪一年,它说不定会出现在高考物理卷上呢。
推荐阅读
- 男团|蔡徐坤游戏故意推翻李晨,沙溢看不下去,暴露跑男团真实关系
- 死刑!宁夏男子故意杀害5人、侮辱尸体!一审宣判!
- 大连海关破获系列利用邮寄渠道走私烟丝案 缴获烟丝200公斤
- [新浪科技]蚂蚁集团董事长井贤栋:上市可以让我们更透明地面对世界和公众新浪科技2020-07-20 17:16:540阅
- Google|独立站卖家如何利用Google广告引流?
- 又作死:美国佛州黑帮成员举办大型派对,故意传播新冠病毒
- 昔日矿坑多隐患 而今修复再利用
- FBI公司信息信息安全|FBI利用全球最大旅游数据公司信息监视 2020年中国信息安全市场或达千亿
- 神秘|火影忍者: 天纵奇才卑留呼, 开发出了成神秘术, 却没正确利用!
- Microsoft|[图]屏下前摄效果不佳?微软利用神经网络找到新解决方案
