专科|上海:高职(专科)志愿填报即将开始(附成绩分布表)
_原题为 上海:高职(专科)志愿填报即将开始(附成绩分布表)
市教育考试院说 , 2020年上海市普通高校招生本科普通批次录取工作今天已顺利结束 。 考生可登录市教育考试院“上海招考热线”网站(www.shmeea.edu.cn) , 查询本科普通批次(含特殊类型招生、两次征求志愿)录取结果 。 本科录取通知书由各招生院校陆续发出 , 由于路程远近不同和各地录取时间不同 , 被外省市院校录取考生的通知书可能要晚些时候才能收到 , 具体可咨询各院校招办 。
高考文化成绩(语、数、外三门科目成绩总和)达到相应批次控制线的考生可在9月2日上午10:00至9月3日上午10:00填报相应批次高职(专科)志愿 。 详↓
高职(专科)志愿填报:
9月2日上午10:00-9月3日上午10:00
经审定 , 因高职(专科)阶段招生计划相对充裕 , 故高职(专科)各批次录取控制分数线(含征求志愿填报控制分数线)均划定为100分 , 艺术、体育类文化控制分数线不再按照70%的比例折算划定 , 具体如下:
文章图片
高考文化成绩(语、数、外三门科目成绩总和)达到相应批次控制线的考生可在9月2日上午10:00至9月3日上午10:00填报相应批次高职(专科)志愿 , 其中本市应届高中毕业生由学籍所在中学统一安排;非本市应届高中毕业生由报名所在区招办统一安排 。
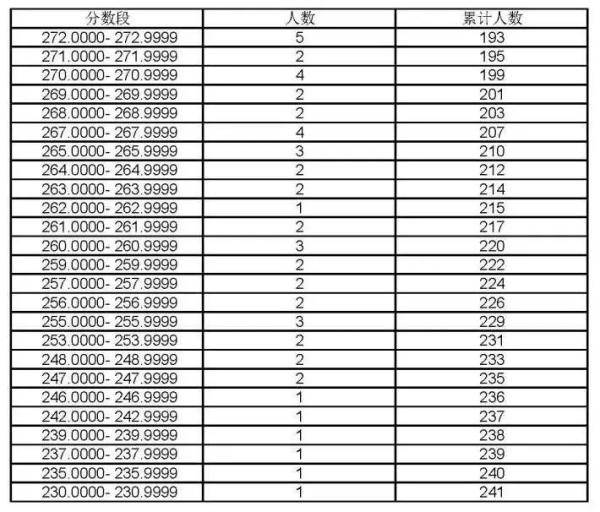
为便于考生填报高职(专科)志愿 ,
现公布如下成绩分布信息 ,
供考生参考↓↓↓
可参加高职(专科)志愿填报考生
“语、数、外”三门成绩分布表
至本科阶段录取完毕 , 可填报高职(专科)志愿的未录取考生人数共计5670人 。 其中 , 175名本科录取控制分数线上的考生从未填报过本科阶段志愿[此类考生很少会选择填报高职(专科)志愿] 。 为帮助考生相对准确地掌握本人在高职(专科)志愿可填报有效人群中的位次 , 以下公布5495名有效生源成绩分布情况:
文章图片
文章图片
文章图片
文章图片
文章图片
文章图片
美术与设计学类专业统考合格考生
投档成绩分布表
文章图片
文章图片
编导类专业统考合格考生
投档成绩分布表
文章图片
文章图片
表演类专业统考合格考生
投档成绩分布表
文章图片
播音与主持艺术类专业统考合格考生
【专科|上海:高职(专科)志愿填报即将开始(附成绩分布表)】投档成绩分布表
文章图片
音乐学类(音乐表演—声乐)专业
统考合格考生投档成绩分布表
文章图片
音乐学类(音乐表演—器乐)专业
统考合格考生投档成绩分布表
文章图片
体育类专业统考合格考生
投档成绩分布表
文章图片
文章图片
高职(专科)志愿填报18个热点问答在此
推荐阅读
- 直播|台姐有料 | 上海时装周重启
- 上海芭蕾舞|舞蹈风暴第二季定档,人物海报重磅首发
- 时装周|小红书直播上海时装周,开启35场“云看秀”
- 小学|上海升学!办理过幼儿园的人户分离,会影响小学的入户年限认定吗?
- 防疫|【教育】上海2020成考将于10月24日-25日举行,防疫提示请查收
- 上海|巨头频频落子上海,科技营造有温度的智慧城市
- 教学|四川今年执行高职(专科)计划33万人 招生对象覆盖部分在岗群体
- 招生|四川今年高职扩招3-4万人 招生对象扩大到“八类群体”
- 四川|四川高职扩招覆盖社会八类群体
- 教育|大数据解读上海教博会:总浏览量超百万,主要观众为学生群体
